Foram encontradas 50 questões.
Texto 1
A Linguagem dos Atos e Comunicações Oficiais
As comunicações que partem dos órgãos públicos federais devem ser compreendidas por todo e qualquer cidadão brasileiro. Para atingir esse objetivo, há que evitar o uso de uma linguagem restrita a determinados grupos. Não há dúvida que um texto marcado por expressões de circulação restrita, como a gíria, os regionalismos vocabulares ou o jargão técnico, tem sua compreensão dificultada.
Ressalte-se que há necessariamente uma distância entre a língua falada e a escrita. Aquela é extremamente dinâmica, reflete de forma imediata qualquer alteração de costumes, e pode eventualmente contar com outros elementos que auxiliem a sua compreensão, como os gestos, a entoação, etc., para mencionar apenas alguns dos fatores responsáveis por essa distância. Já a língua escrita incorpora mais lentamente as transformações, tem maior vocação para a permanência, e vale-se apenas de si mesma para comunicar.
A língua escrita, como a falada, compreende diferentes níveis, de acordo com o uso que dela se faça. Por exemplo, em uma carta a um amigo, podemos nos valer de determinado padrão de linguagem que incorpore expressões extremamente pessoais ou coloquiais; em um parecer jurídico, não se há de estranhar a presença do vocabulário técnico correspondente. Nos dois casos, há um padrão de linguagem que atende ao uso que se faz da língua, a finalidade com que a empregamos.
O mesmo ocorre com os textos oficiais: por seu caráter impessoal, por sua finalidade de informar com o máximo de clareza e concisão, eles requerem o uso do padrão culto da língua. Há consenso de que o padrão culto é aquele em que a) se observam as regras da gramática formal, e b) se emprega um vocabulário comum ao conjunto dos usuários do idioma. É importante ressaltar que a obrigatoriedade do uso do padrão culto na redação oficial decorre do fato de que ele está acima das diferenças lexicais, morfológicas ou sintáticas regionais, dos modismos vocabulares, das idiossincrasias linguísticas, permitindo, por essa razão, que se atinja a pretendida compreensão por todos os cidadãos.
Lembre-se que o padrão culto nada tem contra a simplicidade de expressão, desde que não seja confundida com pobreza de expressão. De nenhuma forma, o uso do padrão culto implica emprego de linguagem rebuscada, nem dos contorcionismos sintáticos e figuras de linguagem próprios da língua literária.
Pode-se concluir, então, que não existe propriamente um "padrão oficial de linguagem"; o que há é o uso do padrão culto nos atos e comunicações oficiais. É claro que haverá preferência pelo uso de determinadas expressões, ou será obedecida certa tradição no emprego das formas sintáticas, mas isso não implica, necessariamente, que se consagre a utilização de uma forma de linguagem burocrática. O jargão burocrático, como todo jargão, deve ser evitado, pois terá sempre sua compreensão limitada.
A linguagem técnica deve ser empregada apenas em situações que a exijam, sendo de evitar o seu uso indiscriminado. Certos rebuscamentos acadêmicos, e mesmo o vocabulário próprio a determinada área, são de difícil entendimento por quem não esteja com eles familiarizado. Deve-se ter o cuidado, portanto, de explicitá-los em comunicações encaminhadas a outros órgãos da administração e em expedientes dirigidos aos cidadãos.
(Manual de Redação da Presidência da República. Ed. rev. e atual. Brasília: Presidência da República, 2002.)
Provas
Texto 1
A Linguagem dos Atos e Comunicações Oficiais
As comunicações que partem dos órgãos públicos federais devem ser compreendidas por todo e qualquer cidadão brasileiro. Para atingir esse objetivo, há que evitar o uso de uma linguagem restrita a determinados grupos. Não há dúvida que um texto marcado por expressões de circulação restrita, como a gíria, os regionalismos vocabulares ou o jargão técnico, tem sua compreensão dificultada.
Ressalte-se que há necessariamente uma distância entre a língua falada e a escrita. Aquela é extremamente dinâmica, reflete de forma imediata qualquer alteração de costumes, e pode eventualmente contar com outros elementos que auxiliem a sua compreensão, como os gestos, a entoação, etc., para mencionar apenas alguns dos fatores responsáveis por essa distância. Já a língua escrita incorpora mais lentamente as transformações, tem maior vocação para a permanência, e vale-se apenas de si mesma para comunicar.
A língua escrita, como a falada, compreende diferentes níveis, de acordo com o uso que dela se faça. Por exemplo, em uma carta a um amigo, podemos nos valer de determinado padrão de linguagem que incorpore expressões extremamente pessoais ou coloquiais; em um parecer jurídico, não se há de estranhar a presença do vocabulário técnico correspondente. Nos dois casos, há um padrão de linguagem que atende ao uso que se faz da língua, a finalidade com que a empregamos.
O mesmo ocorre com os textos oficiais: por seu caráter impessoal, por sua finalidade de informar com o máximo de clareza e concisão, eles requerem o uso do padrão culto da língua. Há consenso de que o padrão culto é aquele em que a) se observam as regras da gramática formal, e b) se emprega um vocabulário comum ao conjunto dos usuários do idioma. É importante ressaltar que a obrigatoriedade do uso do padrão culto na redação oficial decorre do fato de que ele está acima das diferenças lexicais, morfológicas ou sintáticas regionais, dos modismos vocabulares, das idiossincrasias linguísticas, permitindo, por essa razão, que se atinja a pretendida compreensão por todos os cidadãos.
Lembre-se que o padrão culto nada tem contra a simplicidade de expressão, desde que não seja confundida com pobreza de expressão. De nenhuma forma, o uso do padrão culto implica emprego de linguagem rebuscada, nem dos contorcionismos sintáticos e figuras de linguagem próprios da língua literária.
Pode-se concluir, então, que não existe propriamente um "padrão oficial de linguagem"; o que há é o uso do padrão culto nos atos e comunicações oficiais. É claro que haverá preferência pelo uso de determinadas expressões, ou será obedecida certa tradição no emprego das formas sintáticas, mas isso não implica, necessariamente, que se consagre a utilização de uma forma de linguagem burocrática. O jargão burocrático, como todo jargão, deve ser evitado, pois terá sempre sua compreensão limitada.
A linguagem técnica deve ser empregada apenas em situações que a exijam, sendo de evitar o seu uso indiscriminado. Certos rebuscamentos acadêmicos, e mesmo o vocabulário próprio a determinada área, são de difícil entendimento por quem não esteja com eles familiarizado. Deve-se ter o cuidado, portanto, de explicitá-los em comunicações encaminhadas a outros órgãos da administração e em expedientes dirigidos aos cidadãos.
(Manual de Redação da Presidência da República. Ed. rev. e atual. Brasília: Presidência da República, 2002.)
Provas
Provas
Analise as afirmativas abaixo quanto ao painel de slides do LibreOffice Impress versão 5.
I. O painel de slides contém imagens em miniaturas dos slide na ordem em que serão mostradas, a menos que o usuário altere a ordem de apresentação de slides.
II. Várias operações adicionais podem ser realizadas em um ou mais slides simultaneamente no painel de slides.
III. No painel de slides é possível marcar um slide como oculto para que ele não seja exibido como parte da apresentação.
IV. Uma das operações que podem ser realizadas no painel de slides é a duplicação de um slide.
Com base nas afirmativas acima, assinale a alternativa correta.
Provas
As afirmativas abaixo apresentam a definição de um conjunto de funções do aplicativo de gestão de planilhas eletrônicas LibreOffice Calc. Identifique quais afirmativas são corretas e quais são incorretas.
I. A função formatação condicional permite alterar a configuração automática do formato da célula a partir de condições previamente especificadas, por exemplo, dependendo do valor informado para a cor de uma célula pode ser modificada pelo aplicativo.
II. A função classificar registros permite organizar as células visíveis em uma planilha, permitindo uma classificação ascendente ou descendente do conjunto de registros da planilha.
III. A função fórmulas permite que o conteúdo de uma célula na planilha mostre o resultado de alguma operação matemática a partir do conteúdo de outras células, faixas de células, resultados aritméticos, referência a outras planilhas e etc.
Assinale a alternativa correta que apresenta a enumeração das afirmativas verdadeiras.
Provas
A barra de ferramentas de formatação do aplicativo de gestão de planilhas eletrônicas Calc, do pacote LibreOffice, possui diversas formatações de números que podem ser executados a partir de ícones fixados nas barras de ferramentas. Alguns exemplos desses ícones são apresentados na figura abaixo. Seguindo a sequência da figura, do lado esquerdo para o lado direito, selecione a opção correta que define os nomes dos ícones da barra de ferramentas.
![]()
Provas
- InternetNavegadores (Browsers)Google Chrome
- InternetNavegadores (Browsers)Mozilla Firefox
- InternetNavegadores (Browsers)Internet Explorer
Provas
Provas
- EletromagnetismoElétricaEletricidade
- EletromagnetismoElétricaEletrostática
- EletromagnetismoElétricaForça Elétrica, Campo Elétrico e Eletrização
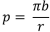
Uma esfera de raio R e área externa A é feita de um
material não condutor. A densidade volumétrica de
carga (ρ) em todo o corpo da esfera varia de acordo
com seu raio:
, sendo b uma constante.
Pode-se afirmar que a carga total contida na esfera,
e o campo elétrico em seu interior são,
respectivamente (marque a alternativa que
contém as respostas corretas):
Provas
O modelo padrão leva em conta a interação entre partículas elementares, quarks e léptons, e seus mediadores. Com base nessas interações, seus mediadores e as teorias quânticas que as descrevem, pode-se afirmar que as letras A, B e C do quadro abaixo correspondem, respectivamente, a

Provas
Caderno Container