Foram encontradas 492 questões.
As pessoas que chegam e tentam atravessar a fronteira da Bósnia com a Croácia vêm principalmente de acampamentos informais na Sérvia. Alguns passaram por rotas desde a Grécia até a Albânia e Montenegro para chegar até aqui. O que está claro é que as pessoas que fogem do conflito e da instabilidade em seus países continuam buscando segurança na Europa. Diante de uma situação que se estende na Bósnia e Herzegovina, é esperado que os migrantes enfrentem o mesmo ciclo de questões problemáticas que assolaram outros pontos ao longo da rota dos Balcãs: doenças respiratórias e de pele, deterioração das condições de saúde mental e aumento da violência.
Disponível em: < https://www.msf.org.br>. Acesso em: 28 de nov. 2018 (adaptado)
Sobre a instabilidade política da região dos Bálcãs é correto afirmar que:
Provas
Segundo Ariovaldo Umbelino de Oliveira: “Os conflitos sociais no campo brasileiro e sua marca ímpar a violência, não são uma exclusividade apenas do século XX. São, marcas constantes do desenvolvimento e do processo de ocupação do país. ” (OLIVEIRA, 2007).
O autor sobreleva o papel dos diversos setores sociais que compõem o conjunto dos camponeses sem terra. Os posseiros, por exemplo, são uma parcela dos camponeses sem terra, que vêm historicamente lutando numa ponta contra a expropriação que os gera, e na outra, contra os jagunços, latifundiários especuladores e grileiros. Muitos são esses movimentos que fazem parte dessas muitas histórias de lutas pela terra e pela liberdade no campo brasileiro.
OLIVEIRA, A. U. Modo de produção capitalista, agricultura e reforma agrária. São Paulo: FFLCH, 2007, 184p. Disponibilizado em: http://www.fflch.usp. br/dg/gesp
Assinale a alternativa que apresenta corretamente uma definição de “posseiros”.
Provas
- ECAGeralDireitos Fundamentais (art. 7º ao 69)Do Direito à Educação, à Cultura, ao Esporte e ao Lazer (Art. 53 a 59)
No Capítulo IV do Estatuto da Criança e do Adolescente – ECA -, lei 8069/1990, denominado “Do Direito à Educação, à Cultura, ao Esporte e ao Lazer” são apresentados os direitos e também os deveres do Estado e da família para com a educação, cultura, esporte e lazer. Em relação à educação, o ECA apresenta que toda criança e adolescente têm direito à educação, visando ao pleno desenvolvimento de sua pessoa, preparo para o exercício da cidadania e qualificação para o trabalho. Para que isso seja alcançado o Estado tem o dever de oferecer a educação pública e gratuita próxima à residência dos sujeitos.
Sobre os deveres do Estado, apresentados no artigo 54, assinale a alternativa que contemple de forma correta os deveres para a oferta da educação escolar:
Provas
Provas
Corrosão eletroquímica de um metal é um processo que envolve reações redox espontâneas, como exemplo, a indesejada ferrugem. Esta é originada do processo corrosivo do ferro. Um procedimento para evitar a corrosão é a adição de um metal de sacrifício para ser ______________ preferencialmente por apresentar um ___________ potencial de ____________.
Assinale a alternativa que completa o texto acima corretamente.
Provas
Uma amostra contendo 514 mg de C8 H18, um dos componentes da gasolina, foi colocada em um calorímetro com oxigênio suficiente para promover a combustão completa. O calorímetro foi preenchido com 1,8 L de água e a capacidade calorífica do interior do calorímetro (sem água) é 1,06 kJ.°C-1. A reação promove uma variação de temperatura de 2,8 °C.
Dados: Capacidade calorífica molar da água = 75,3 J.°C-1.mol-1.
Massas atômicas: C=12; H=1
Qual é o calor de combustão por mol, aproximado, de C8 H18?
Provas
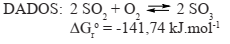
Considerando a reação de formação do trióxido de enxofre no equilíbrio e sob temperatura e pressão constantes, é correto afirmar que:

Provas
Considere os potenciais padrões de redução apresentados abaixo:
|
Semi-reação de redução |
E°, V |
|
Ce4+(aq) + e- → Ce3+(aq) |
+1,61 |
|
Cℓ2(g) + 2e- → 2Cℓ -(aq) |
+1,36 |
|
Cr2O72-(aq) + 14H+(aq) + 6e- → 2Cr3+(aq) + 7H2O(l) |
+1,33 |
|
Cu2+(aq) + 2e- → Cu(s) |
+0,34 |
|
Fe3+(aq) + e- → Fe2+(aq) |
+0,77 |
|
S(s) + 2H+(aq) + 2e- → H2S(aq) |
+ 0,14 |
|
Pb2+(aq) + 2e- → Pb(s) |
-0,13 |
|
Al3+(aq) + 3e- → Al(s) |
-1,66 |
Atkins, P.; De Paula, J. Físico-química. 10. ed. Rio de Janeiro: LTC, 2017.v. 2.
Identifique nas reações abaixo, a que é classificada como um processo espontâneo.
Provas
Uma reação do tipo 2A(g) + Z(g) →2T(g) foi monitorada variando-se a concentração dos reagentes. A velocidade de formação de T foi medida conforme a tabela abaixo.

Determine a lei de velocidade e calcule a velocidade da reação em função de v se [A] for x e [Z] for 3y.
Provas
Para determinar o teor de prata em uma liga, realizou-se um procedimento de gravimetria. Tal procedimento partiu de uma amostra da liga de 5g à qual foi submetida a abertura com ácido nítrico seguido de tratamento com solução de cloreto de sódio. Ao fim do procedimento foram obtidos 4,3g de precipitado. A partir dessas informações pode-se constatar que o teor de prata na liga analisada era, aproximadamente, de:
Considere as seguintes massas molares em g. mol-1: Na = 23, Cℓ = 35, Ag = 108).
Provas
Caderno Container