Foram encontradas 576 questões.
Sejam as afirmações a seguir:
I – Para b = -1 e c = -6, temos 
II – Seja ƒ: ℝ→ ℝ tal que
ƒ é contínua em x0 = 1;
III – A reta tangente à curva 4x3 - 2y2 +18 = 0 no ponto P(2,5) possui equação geral 12x - 5y + 1 = 0
Dentre as afirmações anteriores, temos:
Provas
Dado o número complexo
então a área do triângulo cujos vértices são as
raízes cúbicas de z é:
Provas
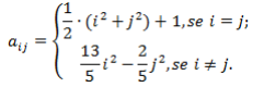
Seja A = (aij) uma matriz quadrada de ordem 2 tal que:

Sendo An , a n-ésima potência da matriz A , é CORRETO afirmar que:
Provas
Seja a função ƒ e Dƒ , o domínio de ƒ, tais que: ∀ x ∈ Dƒ ,
A respeito de ƒ são feitas as seguintes afirmações:
I- o maior subconjunto de ℝ que possa ser o
domínio de ƒ é o intervalo 
II- Independente do seu domínio, ƒ será sempre injetiva.
III- ƒ será crescente se o seu domínio for o
intervalo
;
IV- ƒ será decrescente se o seu domínio for o
intervalo
.
Assinalando com V, para VERDADEIRA, ou F, para FALSA as afirmações I, II, III e IV, teremos, respectivamente:
Provas
Seja ƒ:ℝ →ℝ tal que: ∀ x ∈ ℝ ,
.
A respeito de ƒ são feitas as seguintes afirmações:
I – ƒ(x) > 1/2 ∀ x ∈ ℝ;
II – o menor valor de ƒ ocorre em x0 = 3/4 ;
III – a imagem de ƒ é
imagem
de ƒ ).
Assinalando com V, para VERDADEIRA, ou F, para FALSA as afirmações I, II e III, teremos, respectivamente:
Provas
Seja a função ƒ = [1/3, + ∞) → ℝ tal que ∀ x ∈ Dƒ,
.
Seja a função g : ℝ → ℝ e a função composta de ƒ em g, ƒo g tal que ƒ(g(x)) = |2x -3|.
(DF : domínio da função F)
A respeito das funções ƒ, g e ƒo g são feitas a seguintes afirmações:
I – a imagem de ƒ é Im( ƒ) = ℝ+;II – g é uma função quadrática;
III – Dƒo g = Dg .
IV – ƒ' (0) + ƒ(0)>0;
É CORRETO afirmar que:
Provas
Numa PG (an) infinita e crescente de razão q ,
tem-se
. É CORRETO
afirmar que uma PG com esta propriedade é tal
que:
Provas
Provas
MEC vai analisar experiências inovadoras de todo o país
Quinta-feira, 19 de novembro de 2015
______ chamada pública Inovação e Criatividade na Educação Básica, do Ministério da Educação, lançada em setembro e encerrada em 11 de novembro, recebeu 690 inscrições de experiências de todas as regiões do Brasil. A iniciativa teve o objetivo de identificar, reconhecer e mapear ações educacionais que fujam do modelo tradicional, com o objetivo de divulgar essas experiências.
______ partir dessas experiências inovadoras, o MEC pretende desenvolver políticas públicas de fomento à inovação e criatividade, estimulando escolas e organizações a colocar em prática concepções de educação que rompam com o padrão tradicional e criem modelos que formem os alunos em uma perspectiva de desenvolvimento integral.
“Recebemos experiências de todas as regiões. São inovações na gestão, na metodologia, na relação com a comunidade, na articulação entre os diversos setores para garantia dos direitos das crianças e jovens”, explicou a educadora e assessora especial do MEC Helena Singer, que coordena o grupo de trabalho nacional criado para implementar o projeto.
Além do grupo nacional, existem outros oito grupos regionais, encarregados de discutir a inovação e criatividade nas dimensões da gestão, currículo, metodologia e do próprio ambiente escolar, além de identificar experiências inovadoras nos diferentes estados brasileiros. Os grupos de trabalho estão avaliando ______________ experiências inscritas e a previsão é que o resultado seja divulgado em dezembro.
Disponível em: http://portal.mec.gov.br/component/content/article?id=32171. Acesso em: 22 nov. 2015. Adaptado.
Provas
Dilma sanciona lei de combate ao bullying nas escolas
Instituições de ensino, clubes e agremiações devem ter medidas
para coibir a prática
POR AGÊNCIA BRASIL 09/11/2015
RIO — A presidente Dilma Rousseff sancionou a lei que institui o programa de combate ao bullying. O texto que foi publicado nesta segunda-feira, no Diário Oficial da União, prevê que as escolas, clubes e agremiações recreativas desenvolvam medidas de conscientização, prevenção e combate ao bullying. A lei entra em vigor em 90 dias.
Como parte do programa, devem ser realizadas campanhas educativas, além de orientação e assistência psicológica, social e jurídica _______ vítimas e aos agressores.
A lei estabelece que os objetivos propostos pelo programa poderão ser usados para fundamentar ações do Ministério da Educação, das secretarias estaduais e municipais de educação e também de outros órgãos aos quais a matéria diz respeito. Entre os objetivos do programa está __________ capacitação de docentes e equipes pedagógicas para a implementação das ações de discussão, prevenção, orientação e solução do problema.
De acordo com o texto da lei, a punição aos agressores deve ser evitada, tanto quanto possível, "privilegiando mecanismos e instrumentos alternativos que promovam a efetiva responsabilização e a mudança de comportamento hostil".
O texto caracteriza o bullying como todo ato de "violência física ou psicológica, intencional e repetitivo, que ocorre sem motivação evidente, praticado por indivíduo ou grupo, contra uma ou mais pessoas, com o objetivo de intimidá-la ou agredi-la, causando dor e angústia ____ vítima em uma relação de desequilíbrio de poder entre _____ partes envolvidas".
Os entes federados poderão firmar convênios e estabelecer parcerias para implementar e executar os objetivos e diretrizes do programa.
Disponível em: http://oglobo.globo.com/sociedade/educacao/dilma-sanciona-lei-de-combate-ao-bullying-nas-escolas-18001462. Acesso em: 22 nov. 2015. Adaptado.
De acordo com as ideias do texto, analise as afirmativas abaixo.
I- A lei refere-se exclusivamente a ações nas escolas.
II- Fica explícita no texto a ideia referente à necessidade de realização de campanhas educativas.
III- A lei apresentada no texto incita a punição dos envolvidos.
Assinalando com V, para VERDADEIRA, ou F, para FALSA, nas afirmativas I, II e III, teremos, respectivamente:
Provas
Caderno Container