Foram encontradas 50 questões.
Sobre as unidades de massa, 1 tonelada equivale em quilogramas a:
Provas
Olhos d’água (Fragmento)
Sendo a primeira de sete filhas, desde cedo, busquei dar conta de minhas próprias dificuldades, cresci rápido, passando por uma breve adolescência. Sempre ao lado de minha mãe aprendi conhecê-la. Decifrava o seu silêncio nas horas de dificuldades, como também sabia reconhecer em seus gestos, prenúncios de possíveis alegrias. Naquele momento, entretanto, me descobria cheia de culpa, por não recordar de que cor seriam os seus olhos. Eu achava tudo muito estranho, pois me lembrava nitidamente de vários detalhes do corpo dela. Da unha encravada do dedo mindinho do pé esquerdo... Da verruga que se perdia no meio da cabeleira crespa e bela... Um dia, brincando de pentear boneca, alegria que a mãe nos dava quando, deixando por uns momentos o lava-lava, o passa-passa das roupagens alheias, se tornava uma grande boneca negra para as filhas, descobrimos uma bolinha escondida bem no couro cabeludo ela. Pensamos que fosse carrapato. A mãe cochilava e uma de minhas irmãs aflita, querendo livrar a boneca-mãe daquele padecer, puxou rápido o bichinho. A mãe e nós rimos e rimos e rimos de nosso engano. A mãe riu tanto das lágrimas escorrerem. Mas, de que cor eram os olhos dela?
Eu me lembrava também de algumas histórias da infância de minha mãe. Ela havia nascido em um lugar perdido no interior de Minas. Ali, as crianças andavam nuas até bem grandinhas. As meninas, assim que os seios começavam a brotar, ganhavam roupas antes dos meninos. Às vezes, as histórias da infância de minha mãe confundiam-se com as de minha própria infância. Lembro-me de que muitas vezes, quando a mãe cozinhava, da panela subia cheiro algum. Era como se cozinhasse ali, apenas o nosso desesperado desejo de alimento. As labaredas, sob a água solitária que fervia na panela cheia de fome, pareciam debochar do vazio do nosso estômago, ignorando nossas bocas infantis em que as línguas brincavam a salivar sonho de comida. E era justamente nos dias de parco ou nenhum alimento que ela mais brincava com as filhas. Nessas ocasiões a brincadeira preferida era aquela em que a mãe era a Senhora, a Rainha. Ela se assentava em seu trono, um pequeno banquinho de madeira. Felizes colhíamos flores cultivadas em um pequeno pedaço de terra que circundava o nosso barraco. Aquelas flores eram depois solenemente distribuídas por seus cabelos, braços e colo. E diante dela fazíamos reverências à Senhora. Postávamos deitadas no chão e batíamos cabeça para a Rainha. Nós, princesas, em volta dela, cantávamos, dançávamos, sorríamos. A mãe só ria, de uma maneira triste e com um sorriso molhado... Mas de que cor eram os olhos de minha mãe? Eu sabia, desde aquela época, que a mãe inventava esse e outros jogos para distrair a nossa fome. E a nossa fome se distraía.
Conceição Evaristo (Olhos d’água, p. 15-19)
Às vezes, as histórias da infância de minha mãe confundiam-se com as de minha própria infância.
Quanto ao uso do sinal indicativo de crase e à acentuação gráfica, assinale a alternativa correta:
Provas
Sobre os métodos de fluorescência e fosforescência, é correto afirmar que:
Provas
Observe a imagem, abaixo:

http://www.quimlab.com.br/
Sobre o elemento químico demonstrado, podemos afirmar, corretamente, que:
Provas
À medida que uma reação prossegue, as concentrações dos reagentes e produtos alteram-se e, numa célula eletroquímica, a ddp (diferença de potencial ou força eletromotriz) torna-se zero, quando a reação alcança o equilíbrio. O físico-alemão Walther Hermann Nernst (1864- 1941) deduziu uma equação que permite calcular a variação do potencial de uma pilha, em determinado instante, a partir das concentrações em quantidade de matéria das soluções dos eletrodos:
!$ E=E^o--{\large{RT \over nF}}.ln\, Q !$
Considerando a equação, acima, E0 representa:
Provas
Considere que determinado servidor público cometeu falta administrativa passível de penalidade de advertência. Todavia, o servidor reincidiu, na mesma conduta, convertendo-se a penalidade, automaticamente, em suspensão, esta que se dará por determinado prazo, de acordo com a Lei 8.027, de 12 de abril de 1990, que está, corretamente, expresso na alternativa:
Provas
C3H8 é exemplo de:
Provas
São exemplos de ânions não-oxigenados:
Provas
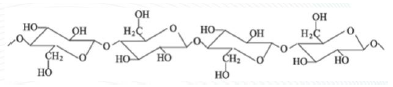
Observe a imagem, e indique a resposta correta, correspondente a ela

Provas
A única placa que NÃO apresenta desvio em relação à concordância (nominal) recomendada pela Norma Culta é:
Provas
Caderno Container