Foram encontradas 1.896 questões.
A Carta de Atenas, datada de 1933, dá linhas de orientação
sobre o exercício e o papel do urbanismo dentro da sociedade
e serviu de inspiração à arquitetura contemporânea. Sobre
essa carta, leia atentamente as sentenças a seguir.
I. A Carta estabelece que são três as funções básicas na cidade: habitação, trabalho e circulação.
II. O debate da necessidade do planejamento regional e urbano foi um dos aspectos principais desse documento.
III. A Carta discute a submissão da propriedade privada do solo urbano aos interesses coletivos.
Desse modo, está correto apenas o que se afirma em:
I. A Carta estabelece que são três as funções básicas na cidade: habitação, trabalho e circulação.
II. O debate da necessidade do planejamento regional e urbano foi um dos aspectos principais desse documento.
III. A Carta discute a submissão da propriedade privada do solo urbano aos interesses coletivos.
Desse modo, está correto apenas o que se afirma em:
Provas
Questão presente nas seguintes provas
A figura a seguir apresenta a planta baixa de um banheiro
acessível, onde a distância da parede à extremidade
do vaso sanitário, c, vale 60cm. Com base nessa planta,
responda as duas próximas questões.

Assinale, dentre as alternativas abaixo, aquela que aponta o menor valor para a área do banheiro (excetuando paredes) atendendo, também, as condições de acessibilidade:

Assinale, dentre as alternativas abaixo, aquela que aponta o menor valor para a área do banheiro (excetuando paredes) atendendo, também, as condições de acessibilidade:
Provas
Questão presente nas seguintes provas
Observe o cômodo apresentado na figura a seguir.

Sabendo que as folhas das portas medem 0,90m, dentre os valores apresentados nas alternativas a seguir, o menor valor admissível para x para garantir condições de acessibilidade vale:

Sabendo que as folhas das portas medem 0,90m, dentre os valores apresentados nas alternativas a seguir, o menor valor admissível para x para garantir condições de acessibilidade vale:
Provas
Questão presente nas seguintes provas
Observe a figura a seguir, que apresenta o projeto de uma
rampa interna a uma edificação.

Sabendo que a altura h vale 1,50m, o menor valor admissível para o comprimento c para garantir as condições de acessibilidade vale:

Sabendo que a altura h vale 1,50m, o menor valor admissível para o comprimento c para garantir as condições de acessibilidade vale:
Provas
Questão presente nas seguintes provas
A figura abaixo apresenta uma malha representativa de uma
superfície topográfica

Sabe-se que essa malha foi gerada através de pontos obtidos em um levantamento topográfico e, além disso, foi modificada com o comando PEDIT, que a suavizou. A variável que controla o padrão de suavização nesse comando é:

Sabe-se que essa malha foi gerada através de pontos obtidos em um levantamento topográfico e, além disso, foi modificada com o comando PEDIT, que a suavizou. A variável que controla o padrão de suavização nesse comando é:
Provas
Questão presente nas seguintes provas
Observe atentamente a figura abaixo.

Para, a partir dos elementos geométricos apresentados na figura (a), gerar o sólido apresentado na figura (b), no programa Autocad, emprega-se o comando:

Para, a partir dos elementos geométricos apresentados na figura (a), gerar o sólido apresentado na figura (b), no programa Autocad, emprega-se o comando:
Provas
Questão presente nas seguintes provas
Na figura abaixo, apresenta-se a vista isométrica de uma
edificação no Model Space do programa Autocad.

Para geração de uma vista bidimensional de uma das fachadas dessa edificação, é necessário posicionar a fachada paralelamente à tela e utilizar o comando:

Para geração de uma vista bidimensional de uma das fachadas dessa edificação, é necessário posicionar a fachada paralelamente à tela e utilizar o comando:
Provas
Questão presente nas seguintes provas
A figura a seguir apresenta parte da planta baixa do projeto de
uma edificação.

A linha indicada é gerada diretamente no programa Autocad através do comando:

A linha indicada é gerada diretamente no programa Autocad através do comando:
Provas
Questão presente nas seguintes provas
A figura abaixo apresenta uma janela mostrando as camadas
(layers) de um desenho executado em Autocad.

Sobre essas camadas, é correto afirmar que a camada:

Sobre essas camadas, é correto afirmar que a camada:
Provas
Questão presente nas seguintes provas
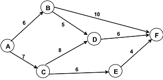
A figura abaixo mostra uma rede PERT-CPM associada a um
processo de manufatura que envolve os estágios numerados
de A a F. As setas indicam atividades a serem realizadas, com a
duração indicada em horas.

O processo todo de manufatura necessita, para sua execução, de um tempo mínimo de:

O processo todo de manufatura necessita, para sua execução, de um tempo mínimo de:
Provas
Questão presente nas seguintes provas
Cadernos
Caderno Container