Foram encontradas 70 questões.
Disciplina: TI - Organização e Arquitetura dos Computadores
Banca: FUNRIO
Orgão: IF-PA
Um problema que pode ocasionar o travamento do computador durante ou logo após o POST é
Provas
- Modelo OSIModelo OSI: Camada Física
- Modelo OSIModelo OSI: Camada de Enlace
- Transmissão de DadosMeios de TransmissãoCabeamento FìsicoMeio de Transmissão: Par Trançado
- Transmissão de DadosPadrões IEEE 802IEEE 802.3: Ethernet
Analise as seguintes proposições com relação às redes Ethernet:
I - Na estrutura básica do quadro Ethernet existe um campo destinado ao uso de código corretor de erro.
II - As velocidades de transmissão das redes Ethernet podem ser atendidas com cabos Par Trançado Categoria 3.
III - Segundo o modelo ISO/OSI, o Ethernet é o padrão que define os níveis 1 e 2 (físico e lógico) especificados pelas normas 802.3 e 802.2 IEEE.
É correto apenas o que se afirma em
Provas
Ao se instalar uma rede sem fio doméstica devem ser tomados alguns cuidados para não se fragilizar a segurança.
Um deles é
Provas
DHCP é utilizado para realizar configuração automática dos endereços dos dispositivos de rede que utilizam o protocolo TCP/IP.
Analise as seguintes afirmativas com relação ao DHCP:
I – Para configurar um computador com o Windows 2000 para ser um cliente DHCP, na janela “Propriedades de Protocolo Internet (TCP/IP)” deve-se marcar a opção “obter um endereço IP automaticamente”.
II – Quando um cliente com o protocolo TCP/IP instalado e configurado para obter as configurações do protocolo TCP/IP a partir de um servidor DHCP (servidor com o Windows 2000 Serve) não consegue se comunicar com um servidor DHCP, a configuração do IP deve ser feita de forma manual.
III – O DHCP não dá suporte ao Windows 98 e as versões anteriores desse sistema operacional.
O correto apenas o que se afirma em:
Provas
O Proxy é uma importante ferramenta do Administrador da Rede.
Analise as seguintes afirmativas sobre esse assunto:
I - Com o Proxy é possível gerenciar o conteúdo que os funcionários de uma empresa ou de uma repartição pública podem acessar. Assim sendo, é possível bloquear o acesso a sites de relacionamento. No entanto, quando bloqueado pelo Proxy, o site não pode ser acessado em nenhum horário, como, por exemplo, nos intervalos do almoço.
II - É possível manter uma área de acesso rápido às informações já acessadas por outros usuários, evitando a retransmissão das mesmas informações pela rede.
III - Quando o Proxy é mal configurado (proxy aberto), a rede de uma empresa pode ser acessada por atacantes e utilizada para tornar anônimas algumas ações na Internet, como atacar outras redes ou enviar spam.
É correto apenas o que se afirma em
Provas
- Transmissão de DadosTransmissão de Multimídia, Streaming e VozH.323 e Correlatos
- Transmissão de DadosTransmissão de Multimídia, Streaming e VozVoIP: Voice over IP
VoIP é uma coleção de protocolos e padrões que permitem a codificação, transporte e roteamento (sinalização) de chamadas de áudio sobre uma rede TCP/IP.
Com relação a essa tecnologia é correto afirmar que:
Provas
No MUX apresentado na seguinte Figura, CMi (i=0, 1 e 2) representam bits de controle; IMi (i=0,…, 7) sinais de entrada; e OM0 o sinal de saída. Se CM2=1; CM1=0 e CM0=1, o sinal de saída será:

Provas
O número AF1 em Hexadecimal, quando representado em Octal é
Provas
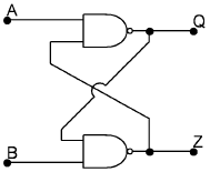
Considere o circuito sequencial a seguir, construído com duas portas lógicas NAND.
Os sinais de entrada são A e B, enquanto os de saída são Q e Z.

Sendo assim, ao se realizar uma transição do estado AB=10 para o estado AB=00, o valor do estado de saída QZ é
Provas
A respeito de transistores, avalie as seguintes sentenças:
I – Conexão Darlington é uma ligação realizada entre dois transistores quando se deseja obter um transistor equivalente com valor de ganho de corrente elevadíssimo.
II – Apesar de simples, a polarização por corrente de base constante possui o inconveniente da corrente do coletor ser dependente do parâmetro !$ \beta !$.
III – Para obter máximo efeito de amplificação sem provocar distorções no sinal amplificado, o transistor deve ser polarizado para operar próximo de sua região de saturação.
É correto apenas o que se afirma em
Provas
Caderno Container