Foram encontradas 50 questões.

Provas

Provas

Provas
Provas
Provas
- Modelo TCP/IPModelo TCP/IP: Camada de Transporte
- Transmissão de DadosSimplex, Half-Duplex e Full-Duplex
Provas
Provas
Disciplina: TI - Organização e Arquitetura dos Computadores
Banca: UFG
Orgão: IF-Goiano
Provas
Uma pilha foi montada com eletrodos de Al e Fe. Considerando as semirreações e os potenciais de redução apresentados a seguir, o valor do potencial da pilha mencionada, em Volts (V), é igual a
Dados:
Al3+ + 3e- ⇌ Al E0 = -1,66 V
Fe2+ + 2e- ⇌ Fe E0 = -0,44 V
Provas
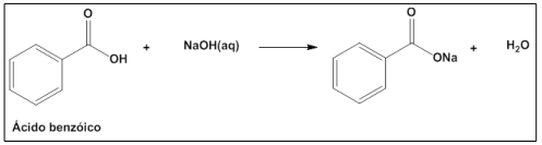
Uma massa de 0,10 g de ácido benzoico (112 g mol-1) foi dissolvida em solvente apropriado e transferida quantitativamente para um erlenmeyer e adicionaram-se gotas de fenolftaleína. Posteriormente, adicionou-se uma solução de NaOH (40 g mol-1) de concentração desconhecida que consumiu um volume de 8,0 mL. A reação química que ocorre entre o ácido e a base está apresentada na figura que segue.

A concentração, em mol L-1, da solução de hidróxido de sódio é, aproximadamente:
Provas
Caderno Container