Foram encontradas 981 questões.
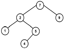
Considere a árvore binária a seguir.

Qual a sequência da consulta pré-ordem sobre os nós dessa árvore?
Provas
Questão presente nas seguintes provas
Considere o trecho de programa a seguir.
1 res = 0;
2 i = 0;
3 while (i <= 9 && res == 0 && num >= X[i]) {
4 if (X[i] == num)
5 res = 1;
6 else
7 i++;
8 }
O comportamento descrito nesse programa, escrito na linguagem Java, é de um algoritmo de
Provas
Questão presente nas seguintes provas
No contexto de gerenciamento de projetos de software, é necessário compreender o que pode sair errado, de modo que um plano de contingência possa ser elaborado com ações planejadas para evitar ou minimizar problemas. Um sinal indicador de que um projeto de software está em perigo é quando
Provas
Questão presente nas seguintes provas
Um hospital público adquiriu um software de apoio ao atendimento médico e laboratorial, cuja característica relevante é o acesso via Web de médicos e pacientes aos resultados dos exames laboratoriais. Considerando essa funcionalidade de acesso remoto a exames laboratoriais, o
Provas
Questão presente nas seguintes provas
Uma empresa terceirizada de auditoria identificou que a utilidade de um sistema de prontuário eletrônico não estava alinhada adequadamente com os processos de negócio do hospital que adquiriu esse sistema. Considerando o relato da auditoria, em que etapa houve falha no processo de engenharia de requisitos do referido sistema?
Provas
Questão presente nas seguintes provas
Considere os quatro estados de um link HTML como não-visitado, visitado, ativo ou com o ponteiro do mouse sobre o mesmo. Por razões de usabilidade e de acessibilidade, é importante que links HTML sejam distinguíveis por outro meio além de cores. Para diferenciar links visitados e não-visitados, ambos com formatação em negrito e sem sublinhado, de links ativos e com o ponteiro do mouse sobre o mesmo, ambos apenas com sublinhado, um desenvolvedor web deve aplicar a formatação:
Provas
Questão presente nas seguintes provas
O Termo de Abertura do Projeto é um documento que autoriza formalmente um projeto ou uma fase e a documentação dos requisitos iniciais que satisfaçam as necessidades e expectativas das partes interessadas. Recomenda-se que o gerente de projetos participe da elaboração do Termo de Abertura, dado que este concede ao gerente autoridade para usar recursos em atividades do projeto. A área de conhecimento do Guia PMBOK® em que são discutidas a estrutura e a importância do Termo de Abertura do Projeto chama-se gerenciamento de
Provas
Questão presente nas seguintes provas
Apesar de os usuários poderem ter uma ideia prévia do software final por meio de um protótipo, uma desvantagem da técnica de prototipação é a
Provas
Questão presente nas seguintes provas
Considere o diagrama UML a seguir, que mostra um conjunto de classes e de relacionamentos entre elas.

BOOCH, G. et al. UML: guia do usuário. 2. ed. Rio de Janeiro: Elsevier,
2005. [Adaptado].
A respeito dos relacionamentos entre classes apresentados, o diagrama UML, que modela um sistema de informação escolar, mostra que um
Provas
Questão presente nas seguintes provas
Leia o Texto a questão.
Bom conflito de indicadores
Tem gente se perguntando: como é que o Brasil conseguiu registrar um de seus maiores índices de desemprego em décadas (4,6% em janeiro) e, ao mesmo tempo, lamentar o “pibinho” de 2012? Não seriam fatos excludentes? Este debate tem se dado nos últimos meses sem que se chegue a uma conclusão.
Entretanto, há quem justifique o fenômeno por meio de dois fatores: a proporção de pessoas dispostas a trabalhar vem diminuindo por causa da queda da taxa de natalidade; e os jovens estão entrando mais tarde no mercado. Esses dois movimentos estariam sustentando os bons índices de emprego. Delfim Neto, ex-ministro e renomado economista é um dos que pensam assim. Agora, se essa mecânica irá se manter, e por quanto tempo, são outros quinhentos.
Já o crescimento estaria baixo pois, por um lado, os investimentos em infraestrutura ainda não aceleraram, e, por outro, a indústria brasileira vem perdendo competitividade, apesar dos esforços do governo. A boa notícia é que o fraco crescimento industrial está sendo compensado pela força do comércio e dos serviços. Ambos vão bem, graças ao aumento da massa salarial, que leva muitas pessoas a consumir.
A média do desemprego do ano passado, medido pelo IBGE em 5,5%, colocou o Brasil entre os melhores países da América Latina, inclusive entre países que cresceram mais do que o nosso em 2012. Exemplo? O México teve 5,8% de desemprego e cresceu 4%, quatro vezes mais que o Brasil. O Peru, por sua vez, registrou 7% de desemprego e continuou na marcha dos últimos anos, aumentando o PIB em 6%. Somente tiveram taxas menores de desemprego no ano passado, em comparação com o Brasil, a Guatemala (2,7%), o Panamá (4,8%) e o Equador (4,8%).
E nos Estados Unidos? Apesar da retomada da economia, o desemprego está na casa dos 7,8%. Na Espanha, o índice gira em torno de absurdos 26%. Quem diria, o Brasil tão bem nessa foto.
RACY, Sônia. Tam nas nuvens. São Paulo: New Content, mar. de 2013, p. 42.
Ao dizer “Quem diria, o Brasil tão bem nessa foto”, a autora recorre a uma expressão metafórica para
Provas
Questão presente nas seguintes provas
Cadernos
Caderno Container