Foram encontradas 919 questões.
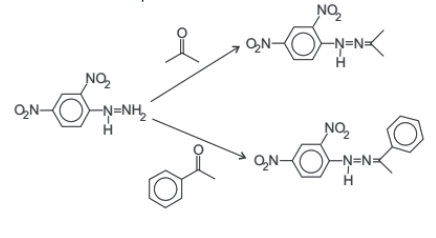
Reações de formação de hidrazonas são usualmente empregadas na caracterização de aldeídos e cetonas. A acetona e a acetofenona, cujas carbonilas absorvem no infravermelho em 1 715 cm−1 e 1 685 cm−1, respectivamente, reagem com 2,4-dinitrofenil-hidrazina, conforme o esquema abaixo:

Com relação às reações de formação das hidrazonas, analise as afirmativas a seguir:
I. As reações se processam segundo um mecanismo de substituição nucleofílica.
II. A acetofenona reage mais rapidamente do que a acetona.
III. A conjugação do anel aromático com a carbonila na acetofenona acarreta a diminuição da densidade eletrônica da ligação C=O.
Assinale
Provas
- Química OrgânicaFunções Nitrogenadas: Amina, Amida, Nitrila, Isonitrila e Nitro Composto
- Química OrgânicaFunções Oxigenadas: Álcool, Fenol e Enol
- Química OrgânicaFunções Oxigenadas: Cetona, Aldeído, Éter, Éster, Ácido Carboxílico etc.
- Química OrgânicaPropriedades Físicas dos Compostos Orgânicos
Os compostos orgânicos têm suas propriedades físicoquímicas diretamente relacionadas às estruturas das cadeias e a seus grupos funcionais. São importantes, pois elas determinam as condições sobre as quais o composto é manuseado e utilizado. Sobre as propriedades físicoquímicas dos compostos orgânicos é correto afirmar que
Provas
As propriedades dos metais do bloco d são governadas pela disponibilidade dos orbitais d, sua valência variável e sua capacidade de agir como ácidos de Lewis. Dessa maneira, os metais do bloco d formam uma grande variedade de complexos. Acerca das características dos metais do bloco d, assinale a alternativa correta.
Provas
Considere a reação da etilamina com excesso de iodeto de metila em uma solução de carbonato de potássio:
\( CH_3CH_2\ddot NH_2 + CH_3-I \rightarrow CH_3CH_2\ddot N HCH_3 \)
Assinale a alternativa que apresente o produto final e o tipo de reação ocorrida entre iodeto de metila e a etilamina.
Provas
De acordo com o que institui a Lei de Diretrizes e Bases da Educação, o poder público, na esfera de sua competência federativa, deverá:
I. recensear a população em idade escolar para o ensino fundamental, e os jovens e adultos que a ele não tiveram acesso;
II. fazer-lhes a chamada pública;
III. zelar, junto aos pais ou responsáveis, pela frequência à escola.
Analise os itens acima e assinale
Provas
De acordo com o que dispõe a LDB, assinale a afirmativa INCORRETA.
Provas
Texto para as questões 1 a 10
Como
fome
vivida
no
útero
e
na
infância
prejudica
o
corpo
por
décadas
1
-------Uma
tragédia
humanitária
vivida
sob
o
nazismo,
em
um
dos
países
atualmente
com
um
dos
melhores
indicadores
de
2 desenvolvimento humano do mundo, tem desde então trazido lições ao mundo a respeito dos impactos da fome extrema sobre
3 bebês que ainda nem tinham nascido.
4------- Era o inverno de 1944 na Holanda, que na época estava parcialmente ocupada pela Alemanha nazista.
5------- Durante meses, as tropas alemãs bloquearam o suprimento de comida para grandes partes do território holandês,
6 deixando 4,5 milhões de pessoas em situação de fome extrema.
7------- “As pessoas comiam os cachorros, os gatos e os ratos. Era simplesmente desesperador”, disse um sobrevivente à
8 BBC em 2013. “Os padeiros não tinham trigo, então, faziam pães aguados, que grudavam na boca.”
9 -------Alguns estudos estimam que cada holandês dispunha de comida equivalente a 370 calorias por dia – lembrando que
10 as normas de saúde vigentes hoje sugerem a ingestão diária de 2 mil calorias por dia para mulheres e 2,5 mil para homens.
11------- Foi um dos mais graves episódios de fome ocorridos durante a Segunda Guerra Mundial, que deixou 20 mil mortos e
12 só terminou com a derrota da Alemanha, em maio de 1945, e a libertação da Holanda.
13------- É um desastre que permanece na memória coletiva dos holandeses até hoje, explica à BBC News Brasil a
14 pesquisadora Tessa Roseboom, professora de Desenvolvimento e Saúde na Primeira Infância na Universidade de Amsterdã.
15------- “A memória coletiva do povo holandês sobre a Segunda Guerra é dramática”, afirma. “Claro que os números de
16 sobreviventes estão diminuindo, mas todos conhecemos histórias de pessoas que tiveram de comer bulbos de tulipa, que
17 tiveram que andar centenas de quilômetros para achar comida.”
18 -------Ao mesmo tempo, o fato de a fome extrema ter ocorrido apenas durante um breve intervalo de tempo (a escassez
19 acabou quando o abastecimento de comida foi normalizado, e a Holanda caminhou para ser um país extremamente próspero)
20 deu aos cientistas um cenário ideal para estudar o que a falta de nutrientes faz com o corpo de uma pessoa – em particular,
21 uma pessoa ainda em formação, dentro do útero da mãe.
22 -------E as pesquisas sobre o “inverno da fome” (ou “hongerwinter”, no original) mostram que as consequências são sentidas
23 até hoje por pessoas que estão na casa dos 70 e 80 anos, e provavelmente serão sentidas por seus descendentes.
24------- Roseboom e seus colegas coletaram, em arquivos históricos, registros médicos detalhados sobre mulheres que
25 estavam grávidas durante o período de escassez e, desde então, estão analisando a saúde física e mental dos filhos dessas
26 mulheres, hoje idosos.
27 -------Essas pessoas apresentam maior incidência de obesidade, de colesterol alto, de diabetes tipo 2 e de problemas
28 cardiovasculares do que a população holandesa em geral, “riscos que contribuem para menos bem-estar físico e mental e mais
29 risco de mortalidade nesse grupo”, diz a pesquisadora.
30------- Um motivo provável é que essas pessoas tiveram seus corpos “programados” desde o útero para sobreviver com muito
31 pouca comida. Ao longo do tempo, isso se converteu em um problema de saúde.
32 -------“Encontramos diferenças claras em termos de estrutura e tamanho do corpo, e achamos que isso se deve à falta de
33 ‘blocos de montar’ – ou seja, da má nutrição – de suas mães quando elas estavam construindo o corpo de seus bebês”, explica
34 Roseboom.
35------- Além disso, ela diz que exames de ressonância magnética feitos nessas pessoas indicam que seus cérebros são
36 menores, o que pode explicar por que eles parecem ter um desempenho pior em tarefas cognitivas.
37 -------E de modo geral, o cérebro dessas pessoas parece “envelhecer mais rápido”, afirma a pesquisadora.
38------- As consequências observadas na Holanda se referem a um período histórico único e extremo, mas servem de alerta
39 quanto aos impactos que a falta de nutrientes tem na saúde de longo prazo das pessoas, em particular fetos e crianças – e de
40 como isso pode prejudicar a força de trabalho futura de um país, explica Roseboom.
41 -------Isso vale inclusive para países como o Brasil, onde 19 milhões de pessoas estavam, no final de 2020, em situação de
42 insegurança alimentar (quando o acesso e a disponibilidade de alimentos são
escassos), segundo cálculos da Rede de
43 Pesquisa em Soberania e Segurança Alimentar e Nutricional.
44------- “Primeiro, o estresse da pandemia impacta crianças já no útero, e sabemos isso a partir de pandemias passadas. A
45 gripe espanhola de 1918, por exemplo, deixou marcas duradouras nas crianças que ainda não haviam nascido. Sabemos que
46 eles tiveram risco mais alto de doenças cardiovasculares e participação mais baixa no mercado de trabalho”, afirma Roseboom.
47------- “A restrição ao acesso à comida no Brasil neste momento pode muito bem ter consequências negativas, principalmente
48 para crianças no útero. Vimos isso na Fome Holandesa, mas também foram observados efeitos similares em outros momentos
49 nos quais houve restrição de comida”, como em períodos graves de fome na China, na Irlanda ou
no continente africano como
50 um todo, diz ela.
51------- “Então, como isso não teria um efeito similar nas crianças brasileiras?”
52 -------Diante desse cenário, Roseboom argumenta que, quando se protege a infância e se garante que grávidas, bebês e
53 crianças recebam nutrição saudável, produz-se um benefício para toda a sociedade, que contará com adultos mais produtivos
54 e com menos problemas de saúde. “É impressionante ver como os cérebros [de pessoas gestadas sob a fome] são menores,
55 fazem menos conexões, têm profusão cerebral mais pobre para tarefas cognitivas. A escassez de comida não afeta só a saúde
56 física futura, mas como essas crianças vão se sair na escola, como conseguirão contribuir para o mercado de trabalho.”
57 -------“Nesse sentido, há um importante efeito econômico a ser considerado. Se as crianças tiverem a pobreza incrustada
58 em seus cérebros, quase literalmente, jamais conseguirão contribuir com seu [potencial] máximo. É um problema que a
59 sociedade inteira vai enfrentar se uma geração ficar desprotegida. O legado é mais longo, com um preço mais alto a ser pago.”
60------- (...)
61------- No Brasil, havia, em 2019, segundo levantamento da Fundação Abrinq pelos Direitos da Criança, ao menos 9,1 milhões
62 de crianças de até 14 anos em situação domiciliar de extrema pobreza, o que provavelmente significa que estavam sob
63 insegurança alimentar – um problema que se agravou com a pandemia, o desemprego e a inflação.
64------- Um relatório da Associação de Psicologia dos EUA aponta que a insuficiência de comida está associada, em crianças,
65 a mais dores de estômago e de cabeça e a mais resfriados. “E a fome severa antecipa doenças crônicas entre crianças em
66 idade pré-escolar e escolar”, diz o texto.
67 -------Além disso, viver sob a insegurança alimentar pode causar estresse tóxico, que por sua vez “afeta desenvolvimento
68 cerebral, o aprendizado, o processamento de informações e os resultados acadêmicos das crianças”.
69 -------Ainda assim, é nos bebês no útero que os malefícios são piores, diz a pesquisadora holandesa: “É [durante a gravidez]
70 que todos os órgãos estão sendo formados. Se eles forem construídos com blocos menores e mais
pobres, não surpreende
71 que haja consequências de longo prazo para a resistência aos estresses da vida cotidiana.”
72 -------Os efeitos disso podem ser mitigados ao longo da vida, mas são persistentes, ela agrega.
73------- “O coração terá menos células musculares, os rins terão menos unidades de filtragem, o cérebro terá menos neurônios.
74 (...) medida que a idade avança, você fica mais suscetível a problemas. Claro que pode-se consertar um pouco disso – um
75 bebê desnutrido pode receber muita comida saudável, atividades e estímulos e minimizar os efeitos, mas reverter completamente não é possível, porque você não consegue construir seu coração do zero outra vez.”
-----
(BBC News. 13.nov.2021. Disponível em: www.uol.com.br)
Assinale a alternativa em que a palavra QUE, no texto, se classifique DISTINTAMENTE das demais.
Provas
Texto para a questão.
Como fome vivida no útero e na infância prejudica o corpo por décadas
Uma tragédia humanitária vivida sob o nazismo, em um dos países atualmente com um dos melhores indicadores de desenvolvimento humano do mundo, tem desde então trazido lições ao mundo a respeito dos impactos da fome extrema sobre bebês que ainda nem tinham nascido.
Era o inverno de 1944 na Holanda, que na época estava parcialmente ocupada pela Alemanha nazista.
Durante meses, as tropas alemãs bloquearam o suprimento de comida para grandes partes do território holandês, deixando 4,5 milhões de pessoas em situação de fome extrema.
“As pessoas comiam os cachorros, os gatos e os ratos. Era simplesmente desesperador”, disse um sobrevivente à BBC em 2013. “Os padeiros não tinham trigo, então, faziam pães aguados, que grudavam na boca.”
Alguns estudos estimam que cada holandês dispunha de comida equivalente a 370 calorias por dia – lembrando que as normas de saúde vigentes hoje sugerem a ingestão diária de 2 mil calorias por dia para mulheres e 2,5 mil para homens.
Foi um dos mais graves episódios de fome ocorridos durante a Segunda Guerra Mundial, que deixou 20 mil mortos e só terminou com a derrota da Alemanha, em maio de 1945, e a libertação da Holanda.
É um desastre que permanece na memória coletiva dos holandeses até hoje, explica à BBC News Brasil a pesquisadora Tessa Roseboom, professora de Desenvolvimento e Saúde na Primeira Infância na Universidade de Amsterdã.
“A memória coletiva do povo holandês sobre a Segunda Guerra é dramática”, afirma. “Claro que os números de sobreviventes estão diminuindo, mas todos conhecemos histórias de pessoas que tiveram de comer bulbos de tulipa, que tiveram que andar centenas de quilômetros para achar comida.”
Ao mesmo tempo, o fato de a fome extrema ter ocorrido apenas durante um breve intervalo de tempo (a escassez acabou quando o abastecimento de comida foi normalizado, e a Holanda caminhou para ser um país extremamente próspero) deu aos cientistas um cenário ideal para estudar o que a falta de nutrientes faz com o corpo de uma pessoa – em particular, uma pessoa ainda em formação, dentro do útero da mãe.
E as pesquisas sobre o “inverno da fome” (ou “hongerwinter”, no original) mostram que as consequências são sentidas até hoje por pessoas que estão na casa dos 70 e 80 anos, e provavelmente serão sentidas por seus descendentes.
Roseboom e seus colegas coletaram, em arquivos históricos, registros médicos detalhados sobre mulheres que estavam grávidas durante o período de escassez e, desde então, estão analisando a saúde física e mental dos filhos dessas mulheres, hoje idosos.
Essas pessoas apresentam maior incidência de obesidade, de colesterol alto, de diabetes tipo 2 e de problemas cardiovasculares do que a população holandesa em geral, “riscos que contribuem para menos bem-estar físico e mental e mais risco de mortalidade nesse grupo”, diz a pesquisadora.
Um motivo provável é que essas pessoas tiveram seus corpos “programados” desde o útero para sobreviver com muito pouca comida. Ao longo do tempo, isso se converteu em um problema de saúde.
“Encontramos diferenças claras em termos de estrutura e tamanho do corpo, e achamos que isso se deve à falta de ‘blocos de montar’ – ou seja, da má nutrição – de suas mães quando elas estavam construindo o corpo de seus bebês”, explica Roseboom.
Além disso, ela diz que exames de ressonância magnética feitos nessas pessoas indicam que seus cérebros são menores, o que pode explicar por que eles parecem ter um desempenho pior em tarefas cognitivas.
E de modo geral, o cérebro dessas pessoas parece “envelhecer mais rápido”, afirma a pesquisadora.
As consequências observadas na Holanda se referem a um período histórico único e extremo, mas servem de alerta quanto aos impactos que a falta de nutrientes tem na saúde de longo prazo das pessoas, em particular fetos e crianças – e de como isso pode prejudicar a força de trabalho futura de um país, explica Roseboom.
Isso vale inclusive para países como o Brasil, onde 19 milhões de pessoas estavam, no final de 2020, em situação de insegurança alimentar (quando o acesso e a disponibilidade de alimentos são escassos), segundo cálculos da Rede de Pesquisa em Soberania e Segurança Alimentar e Nutricional.
“Primeiro, o estresse da pandemia impacta crianças já no útero, e sabemos isso a partir de pandemias passadas. A gripe espanhola de 1918, por exemplo, deixou marcas duradouras nas crianças que ainda não haviam nascido. Sabemos que eles tiveram risco mais alto de doenças cardiovasculares e participação mais baixa no mercado de trabalho”, afirma Roseboom.
“A restrição ao acesso à comida no Brasil neste momento pode muito bem ter consequências negativas, principalmente para crianças no útero. Vimos isso na Fome Holandesa, mas também foram observados efeitos similares em outros momentos nos quais houve restrição de comida”, como em períodos graves de fome na China, na Irlanda ou no continente africano como um todo, diz ela.
“Então, como isso não teria um efeito similar nas crianças brasileiras?”
Diante desse cenário, Roseboom argumenta que, quando se protege a infância e se garante que grávidas, bebês e crianças recebam nutrição saudável, produz-se um benefício para toda a sociedade, que contará com adultos mais produtivos e com menos problemas de saúde. “É impressionante ver como os cérebros [de pessoas gestadas sob a fome] são menores, fazem menos conexões, têm profusão cerebral mais pobre para tarefas cognitivas. A escassez de comida não afeta só a saúde física futura, mas como essas crianças vão se sair na escola, como conseguirão contribuir para o mercado de trabalho.”
“Nesse sentido, há um importante efeito econômico a ser considerado. Se as crianças tiverem a pobreza incrustada em seus cérebros, quase literalmente, jamais conseguirão contribuir com seu [potencial] máximo. É um problema que a sociedade inteira vai enfrentar se uma geração ficar desprotegida. O legado é mais longo, com um preço mais alto a ser pago.”
(...)
No Brasil, havia, em 2019, segundo levantamento da Fundação Abrinq pelos Direitos da Criança, ao menos 9,1 milhões de crianças de até 14 anos em situação domiciliar de extrema pobreza, o que provavelmente significa que estavam sob insegurança alimentar – um problema que se agravou com a pandemia, o desemprego e a inflação.
Um relatório da Associação de Psicologia dos EUA aponta que a insuficiência de comida está associada, em crianças, a mais dores de estômago e de cabeça e a mais resfriados. “E a fome severa antecipa doenças crônicas entre crianças em idade pré-escolar e escolar”, diz o texto.
Além disso, viver sob a insegurança alimentar pode causar estresse tóxico, que por sua vez “afeta o desenvolvimento cerebral, o aprendizado, o processamento de informações e os resultados acadêmicos das crianças”.
Ainda assim, é nos bebês no útero que os malefícios são piores, diz a pesquisadora holandesa: “É [durante a gravidez] que todos os órgãos estão sendo formados. Se eles forem construídos com blocos menores e mais pobres, não surpreende que haja consequências de longo prazo para a resistência aos estresses da vida cotidiana.”
Os efeitos disso podem ser mitigados ao longo da vida, mas são persistentes, ela agrega.
“O coração terá menos células musculares, os rins terão menos unidades de filtragem, o cérebro terá menos neurônios. (...) À medida que a idade avança, você fica mais suscetível a problemas. Claro que pode-se consertar um pouco disso – um bebê desnutrido pode receber muita comida saudável, atividades e estímulos e minimizar os efeitos, mas reverter completamente não é possível, porque você não consegue construir seu coração do zero outra vez.”
(BBC News. 13.nov.2021. Disponível em: www.uol.com.br)
É um problema que a sociedade inteira vai enfrentar se uma geração ficar desprotegida.
Assinale a alternativa em que a alteração dos tempos verbais no período acima tenha mantido correlação adequada.
Provas
Texto para a questão.
Como fome vivida no útero e na infância prejudica o corpo por décadas
Uma tragédia humanitária vivida sob o nazismo, em um dos países atualmente com um dos melhores indicadores de desenvolvimento humano do mundo, tem desde então trazido lições ao mundo a respeito dos impactos da fome extrema sobre bebês que ainda nem tinham nascido.
Era o inverno de 1944 na Holanda, que na época estava parcialmente ocupada pela Alemanha nazista.
Durante meses, as tropas alemãs bloquearam o suprimento de comida para grandes partes do território holandês, deixando 4,5 milhões de pessoas em situação de fome extrema.
“As pessoas comiam os cachorros, os gatos e os ratos. Era simplesmente desesperador”, disse um sobrevivente à BBC em 2013. “Os padeiros não tinham trigo, então, faziam pães aguados, que grudavam na boca.”
Alguns estudos estimam que cada holandês dispunha de comida equivalente a 370 calorias por dia – lembrando que as normas de saúde vigentes hoje sugerem a ingestão diária de 2 mil calorias por dia para mulheres e 2,5 mil para homens.
Foi um dos mais graves episódios de fome ocorridos durante a Segunda Guerra Mundial, que deixou 20 mil mortos e só terminou com a derrota da Alemanha, em maio de 1945, e a libertação da Holanda.
É um desastre que permanece na memória coletiva dos holandeses até hoje, explica à BBC News Brasil a pesquisadora Tessa Roseboom, professora de Desenvolvimento e Saúde na Primeira Infância na Universidade de Amsterdã.
“A memória coletiva do povo holandês sobre a Segunda Guerra é dramática”, afirma. “Claro que os números de sobreviventes estão diminuindo, mas todos conhecemos histórias de pessoas que tiveram de comer bulbos de tulipa, que tiveram que andar centenas de quilômetros para achar comida.”
Ao mesmo tempo, o fato de a fome extrema ter ocorrido apenas durante um breve intervalo de tempo (a escassez acabou quando o abastecimento de comida foi normalizado, e a Holanda caminhou para ser um país extremamente próspero) deu aos cientistas um cenário ideal para estudar o que a falta de nutrientes faz com o corpo de uma pessoa – em particular, uma pessoa ainda em formação, dentro do útero da mãe.
E as pesquisas sobre o “inverno da fome” (ou “hongerwinter”, no original) mostram que as consequências são sentidas até hoje por pessoas que estão na casa dos 70 e 80 anos, e provavelmente serão sentidas por seus descendentes.
Roseboom e seus colegas coletaram, em arquivos históricos, registros médicos detalhados sobre mulheres que estavam grávidas durante o período de escassez e, desde então, estão analisando a saúde física e mental dos filhos dessas mulheres, hoje idosos.
Essas pessoas apresentam maior incidência de obesidade, de colesterol alto, de diabetes tipo 2 e de problemas cardiovasculares do que a população holandesa em geral, “riscos que contribuem para menos bem-estar físico e mental e mais risco de mortalidade nesse grupo”, diz a pesquisadora.
Um motivo provável é que essas pessoas tiveram seus corpos “programados” desde o útero para sobreviver com muito pouca comida. Ao longo do tempo, isso se converteu em um problema de saúde.
“Encontramos diferenças claras em termos de estrutura e tamanho do corpo, e achamos que isso se deve à falta de ‘blocos de montar’ – ou seja, da má nutrição – de suas mães quando elas estavam construindo o corpo de seus bebês”, explica Roseboom.
Além disso, ela diz que exames de ressonância magnética feitos nessas pessoas indicam que seus cérebros são menores, o que pode explicar por que eles parecem ter um desempenho pior em tarefas cognitivas.
E de modo geral, o cérebro dessas pessoas parece “envelhecer mais rápido”, afirma a pesquisadora.
As consequências observadas na Holanda se referem a um período histórico único e extremo, mas servem de alerta quanto aos impactos que a falta de nutrientes tem na saúde de longo prazo das pessoas, em particular fetos e crianças – e de como isso pode prejudicar a força de trabalho futura de um país, explica Roseboom.
Isso vale inclusive para países como o Brasil, onde 19 milhões de pessoas estavam, no final de 2020, em situação de insegurança alimentar (quando o acesso e a disponibilidade de alimentos são escassos), segundo cálculos da Rede de Pesquisa em Soberania e Segurança Alimentar e Nutricional.
“Primeiro, o estresse da pandemia impacta crianças já no útero, e sabemos isso a partir de pandemias passadas. A gripe espanhola de 1918, por exemplo, deixou marcas duradouras nas crianças que ainda não haviam nascido. Sabemos que eles tiveram risco mais alto de doenças cardiovasculares e participação mais baixa no mercado de trabalho”, afirma Roseboom.
“A restrição ao acesso à comida no Brasil neste momento pode muito bem ter consequências negativas, principalmente para crianças no útero. Vimos isso na Fome Holandesa, mas também foram observados efeitos similares em outros momentos nos quais houve restrição de comida”, como em períodos graves de fome na China, na Irlanda ou no continente africano como um todo, diz ela.
“Então, como isso não teria um efeito similar nas crianças brasileiras?”
Diante desse cenário, Roseboom argumenta que, quando se protege a infância e se garante que grávidas, bebês e crianças recebam nutrição saudável, produz-se um benefício para toda a sociedade, que contará com adultos mais produtivos e com menos problemas de saúde. “É impressionante ver como os cérebros [de pessoas gestadas sob a fome] são menores, fazem menos conexões, têm profusão cerebral mais pobre para tarefas cognitivas. A escassez de comida não afeta só a saúde física futura, mas como essas crianças vão se sair na escola, como conseguirão contribuir para o mercado de trabalho.”
“Nesse sentido, há um importante efeito econômico a ser considerado. Se as crianças tiverem a pobreza incrustada em seus cérebros, quase literalmente, jamais conseguirão contribuir com seu [potencial] máximo. É um problema que a sociedade inteira vai enfrentar se uma geração ficar desprotegida. O legado é mais longo, com um preço mais alto a ser pago.”
(...)
No Brasil, havia, em 2019, segundo levantamento da Fundação Abrinq pelos Direitos da Criança, ao menos 9,1 milhões de crianças de até 14 anos em situação domiciliar de extrema pobreza, o que provavelmente significa que estavam sob insegurança alimentar – um problema que se agravou com a pandemia, o desemprego e a inflação.
Um relatório da Associação de Psicologia dos EUA aponta que a insuficiência de comida está associada, em crianças, a mais dores de estômago e de cabeça e a mais resfriados. “E a fome severa antecipa doenças crônicas entre crianças em idade pré-escolar e escolar”, diz o texto.
Além disso, viver sob a insegurança alimentar pode causar estresse tóxico, que por sua vez “afeta o desenvolvimento cerebral, o aprendizado, o processamento de informações e os resultados acadêmicos das crianças”.
Ainda assim, é nos bebês no útero que os malefícios são piores, diz a pesquisadora holandesa: “É [durante a gravidez] que todos os órgãos estão sendo formados. Se eles forem construídos com blocos menores e mais pobres, não surpreende que haja consequências de longo prazo para a resistência aos estresses da vida cotidiana.”
Os efeitos disso podem ser mitigados ao longo da vida, mas são persistentes, ela agrega.
“O coração terá menos células musculares, os rins terão menos unidades de filtragem, o cérebro terá menos neurônios. (...) À medida que a idade avança, você fica mais suscetível a problemas. Claro que pode-se consertar um pouco disso – um bebê desnutrido pode receber muita comida saudável, atividades e estímulos e minimizar os efeitos, mas reverter completamente não é possível, porque você não consegue construir seu coração do zero outra vez.”
(BBC News. 13.nov.2021. Disponível em: www.uol.com.br)
No Brasil, havia, em 2019, segundo levantamento da Fundação Abrinq pelos Direitos da Criança, ao menos 9,1 milhões de crianças de até 14 anos em situação domiciliar de extrema pobreza, o que provavelmente significa que estavam sob insegurança alimentar – um problema que se agravou com a pandemia, o desemprego e a inflação.
Reunindo-se os segmentos sublinhados no período acima, e reescrevendo-os, independentemente da alteração de sentido provocada, analise a alternativa em que tais alterações tenham mantido adequação à norma culta.
Provas
Texto para as questões 1 a 10
Como
fome
vivida
no
útero
e
na
infância
prejudica
o
corpo
por
décadas
1
-------Uma
tragédia
humanitária
vivida
sob
o
nazismo,
em
um
dos
países
atualmente
com
um
dos
melhores
indicadores
de
2 desenvolvimento humano do mundo, tem desde então trazido lições ao mundo a respeito dos impactos da fome extrema sobre
3 bebês que ainda nem tinham nascido.
4------- Era o inverno de 1944 na Holanda, que na época estava parcialmente ocupada pela Alemanha nazista.
5------- Durante meses, as tropas alemãs bloquearam o suprimento de comida para grandes partes do território holandês,
6 deixando 4,5 milhões de pessoas em situação de fome extrema.
7------- “As pessoas comiam os cachorros, os gatos e os ratos. Era simplesmente desesperador”, disse um sobrevivente à
8 BBC em 2013. “Os padeiros não tinham trigo, então, faziam pães aguados, que grudavam na boca.”
9 -------Alguns estudos estimam que cada holandês dispunha de comida equivalente a 370 calorias por dia – lembrando que
10 as normas de saúde vigentes hoje sugerem a ingestão diária de 2 mil calorias por dia para mulheres e 2,5 mil para homens.
11------- Foi um dos mais graves episódios de fome ocorridos durante a Segunda Guerra Mundial, que deixou 20 mil mortos e
12 só terminou com a derrota da Alemanha, em maio de 1945, e a libertação da Holanda.
13------- É um desastre que permanece na memória coletiva dos holandeses até hoje, explica à BBC News Brasil a
14 pesquisadora Tessa Roseboom, professora de Desenvolvimento e Saúde na Primeira Infância na Universidade de Amsterdã.
15------- “A memória coletiva do povo holandês sobre a Segunda Guerra é dramática”, afirma. “Claro que os números de
16 sobreviventes estão diminuindo, mas todos conhecemos histórias de pessoas que tiveram de comer bulbos de tulipa, que
17 tiveram que andar centenas de quilômetros para achar comida.”
18 -------Ao mesmo tempo, o fato de a fome extrema ter ocorrido apenas durante um breve intervalo de tempo (a escassez
19 acabou quando o abastecimento de comida foi normalizado, e a Holanda caminhou para ser um país extremamente próspero)
20 deu aos cientistas um cenário ideal para estudar o que a falta de nutrientes faz com o corpo de uma pessoa – em particular,
21 uma pessoa ainda em formação, dentro do útero da mãe.
22 -------E as pesquisas sobre o “inverno da fome” (ou “hongerwinter”, no original) mostram que as consequências são sentidas
23 até hoje por pessoas que estão na casa dos 70 e 80 anos, e provavelmente serão sentidas por seus descendentes.
24------- Roseboom e seus colegas coletaram, em arquivos históricos, registros médicos detalhados sobre mulheres que
25 estavam grávidas durante o período de escassez e, desde então, estão analisando a saúde física e mental dos filhos dessas
26 mulheres, hoje idosos.
27 -------Essas pessoas apresentam maior incidência de obesidade, de colesterol alto, de diabetes tipo 2 e de problemas
28 cardiovasculares do que a população holandesa em geral, “riscos que contribuem para menos bem-estar físico e mental e mais
29 risco de mortalidade nesse grupo”, diz a pesquisadora.
30------- Um motivo provável é que essas pessoas tiveram seus corpos “programados” desde o útero para sobreviver com muito
31 pouca comida. Ao longo do tempo, isso se converteu em um problema de saúde.
32 -------“Encontramos diferenças claras em termos de estrutura e tamanho do corpo, e achamos que isso se deve à falta de
33 ‘blocos de montar’ – ou seja, da má nutrição – de suas mães quando elas estavam construindo o corpo de seus bebês”, explica
34 Roseboom.
35------- Além disso, ela diz que exames de ressonância magnética feitos nessas pessoas indicam que seus cérebros são
36 menores, o que pode explicar por que eles parecem ter um desempenho pior em tarefas cognitivas.
37 -------E de modo geral, o cérebro dessas pessoas parece “envelhecer mais rápido”, afirma a pesquisadora.
38------- As consequências observadas na Holanda se referem a um período histórico único e extremo, mas servem de alerta
39 quanto aos impactos que a falta de nutrientes tem na saúde de longo prazo das pessoas, em particular fetos e crianças – e de
40 como isso pode prejudicar a força de trabalho futura de um país, explica Roseboom.
41 -------Isso vale inclusive para países como o Brasil, onde 19 milhões de pessoas estavam, no final de 2020, em situação de
42 insegurança alimentar (quando o acesso e a disponibilidade de alimentos são
escassos), segundo cálculos da Rede de
43 Pesquisa em Soberania e Segurança Alimentar e Nutricional.
44------- “Primeiro, o estresse da pandemia impacta crianças já no útero, e sabemos isso a partir de pandemias passadas. A
45 gripe espanhola de 1918, por exemplo, deixou marcas duradouras nas crianças que ainda não haviam nascido. Sabemos que
46 eles tiveram risco mais alto de doenças cardiovasculares e participação mais baixa no mercado de trabalho”, afirma Roseboom.
47------- “A restrição ao acesso à comida no Brasil neste momento pode muito bem ter consequências negativas, principalmente
48 para crianças no útero. Vimos isso na Fome Holandesa, mas também foram observados efeitos similares em outros momentos
49 nos quais houve restrição de comida”, como em períodos graves de fome na China, na Irlanda ou
no continente africano como
50 um todo, diz ela.
51------- “Então, como isso não teria um efeito similar nas crianças brasileiras?”
52 -------Diante desse cenário, Roseboom argumenta que, quando se protege a infância e se garante que grávidas, bebês e
53 crianças recebam nutrição saudável, produz-se um benefício para toda a sociedade, que contará com adultos mais produtivos
54 e com menos problemas de saúde. “É impressionante ver como os cérebros [de pessoas gestadas sob a fome] são menores,
55 fazem menos conexões, têm profusão cerebral mais pobre para tarefas cognitivas. A escassez de comida não afeta só a saúde
56 física futura, mas como essas crianças vão se sair na escola, como conseguirão contribuir para o mercado de trabalho.”
57 -------“Nesse sentido, há um importante efeito econômico a ser considerado. Se as crianças tiverem a pobreza incrustada
58 em seus cérebros, quase literalmente, jamais conseguirão contribuir com seu [potencial] máximo. É um problema que a
59 sociedade inteira vai enfrentar se uma geração ficar desprotegida. O legado é mais longo, com um preço mais alto a ser pago.”
60------- (...)
61------- No Brasil, havia, em 2019, segundo levantamento da Fundação Abrinq pelos Direitos da Criança, ao menos 9,1 milhões
62 de crianças de até 14 anos em situação domiciliar de extrema pobreza, o que provavelmente significa que estavam sob
63 insegurança alimentar – um problema que se agravou com a pandemia, o desemprego e a inflação.
64------- Um relatório da Associação de Psicologia dos EUA aponta que a insuficiência de comida está associada, em crianças,
65 a mais dores de estômago e de cabeça e a mais resfriados. “E a fome severa antecipa doenças crônicas entre crianças em
66 idade pré-escolar e escolar”, diz o texto.
67 -------Além disso, viver sob a insegurança alimentar pode causar estresse tóxico, que por sua vez “afeta desenvolvimento
68 cerebral, o aprendizado, o processamento de informações e os resultados acadêmicos das crianças”.
69 -------Ainda assim, é nos bebês no útero que os malefícios são piores, diz a pesquisadora holandesa: “É [durante a gravidez]
70 que todos os órgãos estão sendo formados. Se eles forem construídos com blocos menores e mais
pobres, não surpreende
71 que haja consequências de longo prazo para a resistência aos estresses da vida cotidiana.”
72 -------Os efeitos disso podem ser mitigados ao longo da vida, mas são persistentes, ela agrega.
73------- “O coração terá menos células musculares, os rins terão menos unidades de filtragem, o cérebro terá menos neurônios.
74 (...) medida que a idade avança, você fica mais suscetível a problemas. Claro que pode-se consertar um pouco disso – um
75 bebê desnutrido pode receber muita comida saudável, atividades e estímulos e minimizar os efeitos, mas reverter completamente não é possível, porque você não consegue construir seu coração do zero outra vez.”
-----
(BBC News. 13.nov.2021. Disponível em: www.uol.com.br)
Assinale a alternativa em que, no texto, a palavra NÃO desempenhe papel adverbial.
Provas
Caderno Container