Foram encontradas 840 questões.
Considere uma palavra digital de 3 bits, B=b2b1b0 usada para representar um sinal analógico de tensão Va que varia entre 0V e +7V.
Qual valor de B para que Va seja igual a +2V, +4V, +5V e +7V, respectivamente?
Provas
O circuito a seguir apresenta uma fonte de tensão aplicada em diversas resistências.

Qual a potência entregue pela fonte de tensão de corrente contínua de 20 V?
Provas
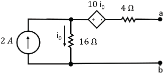
Considere circuito a seguir.

O valor do resistor RL a ser conectado entre os terminais A e B para absorver a máxima potência deverá ser de
Provas
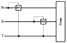
O método dos dois wattímetros é, de modo geral, o mais utilizado para medições de potência trifásica.
Para tal, os dois wattímetros devem estar ligados apropriadamente a duas fases quaisquer do sistema trifásico, conforme a figura apresentada a seguir, em que W1 e W2 representam os dois wattímetros.

Em relação a este método de medição de potência é correto afirmar, EXCETO:
Provas
No que se refere ao problema do fluxo de potência em redes de energia elétrica, analise as afirmações a seguir.
I - O fluxo de potência ativa nas linhas de transmissão é majoritariamente impactado pela defasagem angular entre as barras.
II - Durante o processo de cálculo do fluxo de potência, pode ser necessária a transformação de barras do tipo PV para o tipo PQ, caso a quantidade de potência reativa para manter a tensão seja insuficiente.
III - Uma das finalidades das barras do tipo V!$ \theta !$ é a de fechar o balanço de potência da rede.
Está correto apenas o que se afirma em
Provas
A potência ativa transmiti da por uma linha de transmissão pode ser aumentada com a compensação série. Nesta condição, a compensação pode ser feita com o uso de capacitores de forma a reduzir os efeitos indutivos das linhas.
Dentre as vantagens da instalação de capacitores em série é correto citar, EXCETO que
Provas
Um transformador trifásico possui o seguinte circuito equivalente de sequência zero.

Considerando-se que Z0 seja a impedância de sequência zero, BT o lado de baixa tensão e AT o lado de alta tensão, a correta ligação é do transformador com
Provas
Um sistema elétrico de potência é representado na figura a seguir.

O sistema é constituído por dois barramentos conectados por uma linha de transmissão (LT) e um banco de capacitor conectado ao barramento M.
Considerando-se que Ybarra seja matriz admitância nodal deste sistema, quais os possíveis valores de Ycap e Ysh, respecti vamente?
Provas
Uma alternativa técnica para a redução de custos da transmissão de energia elétrica é a tecnologia conhecida como “meia onda”. Nesta tecnologia, uma linha de transmissão em corrente alternada deve possuir um comprimento igual à metade do comprimento da onda viajante.
Neste contexto, qual o comprimento da linha de transmissão é o mais propício para a operação em “meia onda” no Brasil? Considere a velocidade da luz igual a 3x108 m/s e a velocidade do som igual a 340 m/s.
Provas
Um fabricante forneceu dados de placa de um gerador síncrono. Os principais dados estão resumidos na tabela a seguir.
| Potência nominal | 200MVA | Número de fases | 3 |
| Tensão nominal | 10kv | Conexão do estator | Y |
| Fator de Potência | 0,95 | Classe de isolação | F |
| Frequência | 60Hz | Reatância síncrona | 0,7pu |
Considerando-se que a reatância síncrona, em pu, tenha sido determinada em relação aos valores nominais, qual a reatância síncrona do gerador referida às seguintes bases de potência e tensão: S b=100 MVA e Vb=5 kV?
Provas
Caderno Container