Foram encontradas 36 questões.
Provas
Provas
Provas
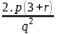
Sendo o valor de “p” o triplo do valor
de “r” e q o dobro do valor de r; sendo a soma do valor de “p” com o valor
de “q” o mesmo valor correspondente a
20% do valor 75; sendo M=
,
então podemos afirmar que o valor de M é?
Provas
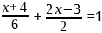
Sendo x a solução da equação
, então o valor correspondente ao valor de E, na equação E=49x, é?
Provas

Provas

A partir da leitura da tira, é possível concluir:
Provas
TEXTO 1
Inteligência o quê?
Inteligência vem da junção das palavras latinas inter (entre) legere (escolher). Por meio da seleção e da escolha os humanos compreendem as coisas.
Na idade média, os filósofos se referiam à inteligência como a parte superior da alma e sua capacidade de conhecimento. Desde então, compõe um trio inseparável: memória-inteligência-vontade.
Quando se fala em inteligência artificial, ninguém pode deixar de lado esse ternário. É aterrorizante imaginar essas três atividades operando conjuntamente em outro local que não o cérebro humano.
Seria possível dotar um computador de razão? Capaz de compreender, julgar, ter bom senso, juízo?
Os computadores guardam ainda a base de seu desenvolvimento na década de 40, a capacidade algorítmica, aptos para resolver cálculos científicos, mas não para analisá-los, como se explica na “Enciclopédia Filosófica Universal”,o local menos suspeito para uma consulta sobre máquinas teoricamente habilitadas a simular a inteligência.
O computador tem conseguido ultrapassar o homem na rapidez e na confiabilidade das operações matemáticas, nas tarefas de rotina, nos encadeamento lógicos. A máquina na qual escrevi essa coluna, evidentemente, não compreende o texto escrito nela. Pode até vertê-lo para outra língua, mas jamais vai poder entender e traduzir em toda a sua profundidade o significado doce e doloroso de uma palavra como saudade, existente somente na língua portuguesa.
Já inventaram programas de computador como o Elisa que “conversa” com as pessoas e parece compreendê-las. Representa comportamentos pré-definidos como o de um psicanalista e responde com alguma lógica a questões menos profundas. Tudo pré-programado e incapaz de evitar o inesperado.
Enganar com o computador, como se vê, pode ser possível. Calma. Ninguém se preocupe se a técnica parece dominar tudo e os técnicos assumem ares de seres superpoderosos e únicos receptáculos de um saber só entendido por eles, porque falam entre si numa linguagem cifrada e incompreensível.
Tudo pode ser decodificado facilmente, e o que hoje perece intransponível não o será logo mais. Basta ver a facilidade da criançada com os computadores. Assim, termos como inteligência artificial ainda servem apenas para ocultar a vontade de um domínio tecnicista sobre o saber universal e humanista.
Se é possível criar máquinas habilitadas no domínio da lógica para resolver problemas estratégicos, não é possível dotá-las de atributos inerentes à condição humana.
Conforme defende L.H. Dreyfus (“intelligence artificiele – Mythes et limites”, 1984), existem quatro postulados bastantes discutíveis quando se fala de inteligência-artificial: o biológico (os impulsos cerebrais), o psicológico (a própria mente), o epistemológico (relativo ao saber e às suas formulações) e o ontológico (os elementos determinados e independentes de todo contexto).
Na porta do século XXI, o desenvolvimento das tecnologias é exponencial, basta refletir com tranquilidade para saber que a técnica ajuda, facilita e até resolve, mas não é tudo e nem pode superar o cérebro humano naquilo que ele tem de melhor – e pior: a razão – ou desrazão.
A desafiadora expressão inteligência artificial, portanto pode enganar mais do que esclarecer. Prefiro a reação de Millor Fernandes ao saber deste diálogo impertinente: “Me chamem quando forem discutir a burrice natural”.
Caio Túlio Costa in Folha de São Paulo, 23 jul. 2017.
A tecnologia tornou possível a existência de grandes populações. Grandes populações agora tornam a tecnologia indispensável”(Joseph Krutch – escritor)
Na citação acima, o termo “grandes populações” aparece, respectivamente, com as seguintes funções:
Provas
- MorfologiaVerbosConjugaçãoFlexão Verbal de Modo
- MorfologiaVerbosConjugaçãoFlexão Verbal de Tempo
- MorfologiaVerbosFormas Nominais

Sobre as formas verbais da tira:
Provas

Sobre o termo “Antes da entrevista de emprego”, é correto afirmar:
Provas
Caderno Container