Magna Concursos

Foram encontradas 1.241 questões.

1765586 Ano: 2007
Disciplina: Ética e Regulação Profissional
Banca: CESPE / CEBRASPE
Orgão: IEMA-ES

A Resolução do CONFEA n.º1.010, de 22/8/2005, que dispõe sobre as atividades e competências para atuação dos profissionais de engenharia, prevê, no art. 5.º, as várias atividades que podem ser atribuídas a esses profissionais, entre as quais se inclui a realização de auditorias e vistorias técnicas. Com relação a vistoria técnica, julgue o próximo item.

A verificação da obediência e adequação do armazenamento de combustíveis em um posto de serviços às normas técnicas pertinentes constitui uma vistoria técnica — os tanques devem atender à norma ABNT NBR 13.785 e as tubulações correspondentes devem atender à norma ABNT NBR 14.722.

 

Provas

Questão presente nas seguintes provas
1765585 Ano: 2007
Disciplina: Engenharia Mecânica
Banca: CESPE / CEBRASPE
Orgão: IEMA-ES

enunciado 1765585-1

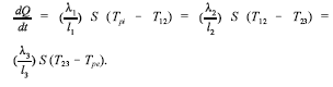
A figura acima mostra esquematicamente uma parede de área S, formada por 3 camadas de materiais diferentes, de espessuras l1, l2 e l3 e condutividades térmicas 81, 82 e 83, respectivamente, a qual separa um ambiente interno de temperatura Ti, de um ambiente externo de temperatura Te, tal que Ti > Te. Acerca dos processos de transferência de calor entre os ambientes interno e externo e com base nessas informações, julgue os itens seguintes.

A potência térmica transmitida por condução é a mesma em cada transição de parede e pode ser expressa pela equação: enunciado 1765585-2

 

Provas

Questão presente nas seguintes provas
1765584 Ano: 2007
Disciplina: Engenharia Mecânica
Banca: CESPE / CEBRASPE
Orgão: IEMA-ES

enunciado 1765584-1

A figura acima mostra esquematicamente uma parede de área S, formada por 3 camadas de materiais diferentes, de espessuras l1, l2 e l3 e condutividades térmicas 81, 82 e 83, respectivamente, a qual separa um ambiente interno de temperatura Ti, de um ambiente externo de temperatura Te, tal que Ti > Te. Acerca dos processos de transferência de calor entre os ambientes interno e externo e com base nessas informações, julgue os itens seguintes.

A situação mostrada envolve os três processos de troca de calor: radiação, condução e convecção.

 

Provas

Questão presente nas seguintes provas
1765583 Ano: 2007
Disciplina: Engenharia Mecânica
Banca: CESPE / CEBRASPE
Orgão: IEMA-ES

enunciado 1765583-1

Considerando os elementos básicos de um sistema de refrigeração por compressão a vapor, esquematizado na figura acima, julgue os itens subseqüentes

A função do dispositivo de expansão é aumentar a pressão do refrigerante líquido que vem do condensador e controlar o fluxo de refrigerante que vai para o evaporador

 

Provas

Questão presente nas seguintes provas
1765582 Ano: 2007
Disciplina: Engenharia Mecânica
Banca: CESPE / CEBRASPE
Orgão: IEMA-ES

enunciado 1765582-1

Considerando os elementos básicos de um sistema de refrigeração por compressão a vapor, esquematizado na figura acima, julgue os itens subseqüentes

O fluido refrigerante, ao ser comprimido no compressor, tem pressão e temperatura aumentadas.

 

Provas

Questão presente nas seguintes provas
1765581 Ano: 2007
Disciplina: Engenharia Mecânica
Banca: CESPE / CEBRASPE
Orgão: IEMA-ES

enunciado 1765581-1

Uma talha acionada por um motor elétrico, cujo esquema está mostrado na figura acima, é formada por um cabo de aço Warrington 1 6×19+1AA, enrolado em um tambor de 400 mm de diâmetro. Esse sistema deve elevar uma massa de 1.000 kg a uma velocidade de 2 m/s com uma aceleração máxima de 2 m/s2. Com base nessas informações, desprezando o peso próprio do cabo e assumindo a aceleração da gravidade g = 10 m/s2, julgue os itens seguintes.

O cabo de aço usado possui 1" de diâmetro, 6 pernas com 19 arames por perna e alma de fibra.

 

Provas

Questão presente nas seguintes provas
1765580 Ano: 2007
Disciplina: Engenharia Mecânica
Banca: CESPE / CEBRASPE
Orgão: IEMA-ES

enunciado 1765580-1

Uma talha acionada por um motor elétrico, cujo esquema está mostrado na figura acima, é formada por um cabo de aço Warrington 1 6×19+1AA, enrolado em um tambor de 400 mm de diâmetro. Esse sistema deve elevar uma massa de 1.000 kg a uma velocidade de 2 m/s com uma aceleração máxima de 2 m/s2. Com base nessas informações, desprezando o peso próprio do cabo e assumindo a aceleração da gravidade g = 10 m/s2, julgue os itens seguintes.

A carga máxima aplicada ao cabo é 12 kN.

 

Provas

Questão presente nas seguintes provas
1765579 Ano: 2007
Disciplina: Engenharia Mecânica
Banca: CESPE / CEBRASPE
Orgão: IEMA-ES

Ensaios destrutivos e não-destrutivos são extremamente importantes para a compreensão do comportamento mecânico e da condição dos materiais utilizados em engenharia. Acerca desse assunto, julgue os seguintes itens.

O ensaio de líquido penetrante para detecção de trincas superficiais é aplicável a qualquer tipo de material.

 

Provas

Questão presente nas seguintes provas
1765578 Ano: 2007
Disciplina: Engenharia Mecânica
Banca: CESPE / CEBRASPE
Orgão: IEMA-ES

Ensaios destrutivos e não-destrutivos são extremamente importantes para a compreensão do comportamento mecânico e da condição dos materiais utilizados em engenharia. Acerca desse assunto, julgue os seguintes itens.

A escala de dureza Rockwell C é aplicada a materiais muito duros, enquanto a escala Rockwell B é destinada a materiais semiduros e macios.

 

Provas

Questão presente nas seguintes provas
1765577 Ano: 2007
Disciplina: Engenharia Mecânica
Banca: CESPE / CEBRASPE
Orgão: IEMA-ES

Ensaios destrutivos e não-destrutivos são extremamente importantes para a compreensão do comportamento mecânico e da condição dos materiais utilizados em engenharia. Acerca desse assunto, julgue os seguintes itens.

Na figura a seguir, a área A sob a curva tensão versus deformação, obtida em um ensaio de tração de um metal dúctil, fornece uma medida da resiliência do material.

enunciado 1765577-1

 

Provas

Questão presente nas seguintes provas