Foram encontradas 1.241 questões.
Disciplina: Legislação Estadual e Distrital
Banca: CESPE / CEBRASPE
Orgão: IEMA-ES
O licenciamento ambiental, considerado instrumento preventivo, consiste em um procedimento uno, dividido em três fases distintas no âmbito federal, ou seja, em três licenças que estabelecem condições e medidas de controle ambiental, que deverão ser observadas pelo empreendedor. Por outro lado, o Decreto Estadual n.º1.777-R/2007, de forma inovadora, apresenta diferentes tipos de licenças e autorizações, com distintos prazos de validade mínimos e máximos. Com relação ao que estabelece esse decreto, julgue os itens seguintes.
A licença de operação de pesquisa (LOP) possui prazo máximo de 4 anos.
Provas
Disciplina: Atualidades e Conhecimentos Gerais
Banca: CESPE / CEBRASPE
Orgão: IEMA-ES

Tendo o texto acima como referência inicial e considerando a amplitude e a diversidade dos temas por ele tratados, julgue os itens que se seguem.
Previsto no Protocolo de Kyoto, o MDL permite aos países ricos ultrapassarem a cota fixada de emissões de gases, desde que invistam em projetos sustentáveis em países subdesenvolvidos ou emergentes.
Provas
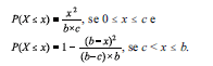
Dados dois parâmetros b e c, tais que c < b, a concentração de uma certa substância na água segue a função de distribuição acumulada a seguir.


Provas
Dados dois parâmetros b e c, tais que c < b, a concentração de uma certa substância na água segue a função de distribuição acumulada a seguir.

A moda de X é igual a
.
Provas
Dados dois parâmetros b e c, tais que c < b, a concentração de uma certa substância na água segue a função de distribuição acumulada a seguir.

A média de X é igual a
.
Provas
- Amostragem
- Estatística DescritivaMedidas de DispersãoDesvio Padrão
- Estatística DescritivaMedidas de Tendência CentralMédias
Uma organização fará uma pesquisa para medir o grau de satisfação da população de determinada cidade com respeito a certo serviço público. A cidade foi dividida nas zonas A, B e C, de acordo com critérios sociais, econômicos e demográficos. Essas zonas compreendem, respectivamente, 500, 1.000 e 2.000 domicílios. Do total de domicílios, serão escolhidos, ao acaso, 300. Estudos anteriores mostraram que os desvios padrões do grau de satisfação nessas zonas foram, respectivamente, iguais a 2, 3 e 4 pontos percentuais. O custo para a realização de uma entrevista é igual a R$ 15,00 por domicílio.
Com base nas informações apresentadas na situação hipotética acima, julgue os itens que se seguemCaso seja adotada a alocação uniforme, o desvio padrão da média de amostra do grau de satisfação será inferior a 0,4 ponto percentual.
Provas
Uma organização fará uma pesquisa para medir o grau de satisfação da população de determinada cidade com respeito a certo serviço público. A cidade foi dividida nas zonas A, B e C, de acordo com critérios sociais, econômicos e demográficos. Essas zonas compreendem, respectivamente, 500, 1.000 e 2.000 domicílios. Do total de domicílios, serão escolhidos, ao acaso, 300. Estudos anteriores mostraram que os desvios padrões do grau de satisfação nessas zonas foram, respectivamente, iguais a 2, 3 e 4 pontos percentuais. O custo para a realização de uma entrevista é igual a R$ 15,00 por domicílio.
Com base nas informações apresentadas na situação hipotética acima, julgue os itens que se seguemSe 40 domicílios forem selecionados aleatoriamente da zona A, então a fração de amostra correspondente será superior a 0,10.
Provas
Uma organização fará uma pesquisa para medir o grau de satisfação da população de determinada cidade com respeito a certo serviço público. A cidade foi dividida nas zonas A, B e C, de acordo com critérios sociais, econômicos e demográficos. Essas zonas compreendem, respectivamente, 500, 1.000 e 2.000 domicílios. Do total de domicílios, serão escolhidos, ao acaso, 300. Estudos anteriores mostraram que os desvios padrões do grau de satisfação nessas zonas foram, respectivamente, iguais a 2, 3 e 4 pontos percentuais. O custo para a realização de uma entrevista é igual a R$ 15,00 por domicílio.
Com base nas informações apresentadas na situação hipotética acima, julgue os itens que se seguemA amostra aleatória de 300 domicílios, considerando-se a alocação ótima de Neyman com custo constante, deve ser dividida da seguinte forma: 25 domicílios da zona A; 75 da zona B; e os domicílios restantes, da zona C.
Provas
- Estatística InferencialTeste de HipótesesAnálise de Variância (ANOVA)
- Séries TemporaisAnálise de Séries TemporaisAR: Modelos Autorregressivos

Considerando os gráficos das figuras acima, referentes à evolução mensal do volume percentual acumulado de 2001 a 2004 em um certo reservatório, julgue os itens a seguir, a respeito de séries temporais.
Considere a função de auto-regressão V(t) = aV(t – 1) + bV(t – 2) + c, em que V(t) representa o volume percentual acumulado no instante t. Nessa função, o valor de b é negativo.
Provas

Considerando os gráficos das figuras acima, referentes à evolução mensal do volume percentual acumulado de 2001 a 2004 em um certo reservatório, julgue os itens a seguir, a respeito de séries temporais.
A autocorrelação entre o volume percentual acumulado no instante t e o volume percentual acumulado no instante t - 1 é inferior a 0,8.
Provas
Caderno Container