Foram encontradas 60 questões.
Com relação aos princípios e diretrizes da Política Nacional de Sangue, Componentes e Hemoderivados, analise as afirmativas a seguir.
I. Garantia de sigilo de informação sobre a origem e procedência do sangue, componentes e hemoderivados, bem como sobre o serviço de hemoterapia responsável pela origem destes.
II. Utilização da doação voluntária do sangue, devendo o poder público estimulá-la como ato relevante de solidariedade humana e compromisso social, sendo permitida a remuneração do doador de sangue somente em casos excepcionais de calamidade pública, nos termos das condições estabelecidas pela legislação do SUS.
III. Permissão de remuneração dos custos dos insumos, reagentes, materiais descartáveis e da mão-de-obra especializada, inclusive honorários médicos, na forma regulamentada por lei e pelas Normas Técnicas do Ministérios da Saúde.
Assinale:
Provas
Disciplina: Legislação Específica das Agências Reguladoras
Banca: FGV
Orgão: Hemocentro-SP
Com relação ao Regulamento Sanitário para serviços que desenvolvem atividades relacionadas ao ciclo produtivo do sangue humano e componentes e procedimentos transfusionais da ANVISA, analise as afirmativas a seguir.
I. Os serviços de hemoterapia, a depender de seu nível de complexidade, devem estar sob responsabilidade técnica de profissional médico ou de enfermeiro de nível superior, em ambos os casos, especialidades em hemoterapia ou hematologia, que responderão pelas atividades executadas pelo serviço.
II. Os serviços de hemoterapia devem possuir projeto arquitetônico aprovado pelo órgão de vigilância sanitária competente.
III. É vedada a terceirização dos serviços relacionados ao ciclo produtivo do sangue humano e aos procedimentos transfucionais.
Assinale:
Provas
A negação lógica da sentença
"Se tenho dinheiro e estou de férias então viajo"
é:
Provas
Uma sentença logicamente equivalente à sentença
"Se durmo pouco e acordo cedo então não trabalho direito"
é
Provas
- GeometriaGeometria PlanaCircunferências e CírculosÁrea do círculo, do setor circular e do segmento circular
Um círculo de área igual a A metros quadrados tem uma circunferência de comprimento igual a P metros.
Um círculo cuja circunferência tem comprimento igual a 2P metros sem área, em metros quadrados, igual a
Provas
"O volume total de sangue a ser doado não pode exceder 8 mL/kg de peso para as mulheres e 9 mL/kg de peso para os homens. O volume máximo admitido para uma doação é de 450 mL \( \pm \) 50 mL, aos quais podem ser acrescidos até 30 mL para realização dos exames laboratoriais exigidos pelas leis e normas técnicas."
(http://www.prosangue.sp.gov.br/artigos/curiosidades)
Um homem doou o volume máximo de sangue admitido, considerando a tolerância máxima e mais o volume para os exames laboratoriais.
O peso mínimo desse homem, expresso pela número inteiro mais próximo, é
Provas
"De cada 10 candidatos à doação de sangue que comparecem à Fundação Pró-Sangue, 8 estão aptos para doar e dois estão temporária ou definitivamente inaptos para doar."
"Mulheres representam menos de 40% dos doadores de sangue."
(http://www.prosangue.sp.gov.br/artigos/curiosidades)
Considere que 150 candidatos à doação de sangue compareceram à Função Pró-Sangue e que esse grupo tenha as características apresentadas acima.
Desse grupo, sobre as quantidades H (de homens) e M (de mulheres), aptos a doar sangue, conclui-se que
Provas
Em um conjunto de bolsas de sangue, se substituirmos 20 daquelas que contêm sangue com fator Rh- por outras 20 com fator Rh+, a quantidade de bolsas de sangue com fator Rh+ será o triplo da quantidade de bolsas de sangue com fator Rh-.
Por outro lado, se no conjunto original, substituirmos 10 bolsas de sangue com fator Rh+ por outras 10 com fator Rh-, a quantidade de bolsas de sangue com fator Rh+ será igual à quantidade de bolsas de sangue com fator Rh-.
A quantidade total de bolsas de sangue no conjunto original é
Provas
Em um armário só há bolsas de sangue dos tipos A e O, sendo que 55% são do tipo O.
Do total de bolsas no armário, 75% contêm sangue com fator Rh positivo.
Das bolsas de sangue com fator Rh positivo, 40% contêm sangue do tipo A.
Do total de bolsas no armário, a porcentagem das bolsas que contêm sangue do tipo O com fator Rh negativo é
Provas
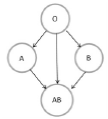
No sistema ABO de classificação de grupos sanguíneos, há quatro grupos sanguíneos: A, B, AB e O.
Considerando-se apenas a compatibilidade dos glóbulos vermelhos, característica desse sistema de classificação sanguínea, indivíduos com sangue de um determinado grupo sanguíneo podem doar para indivíduos do mesmo grupo. Além disso, a figura a seguir mostra a compatibilidade de glóbulos vermelhos entre doadores e receptores de grupos sanguíneos diferentes, onde as setas utilizadas partem de doadores e chegam a receptores.

Nas tabelas a seguir, cada S (sim) ou N (não) indica se um indivíduo do grupo sanguíneo da linha correspondente pode doar (S) ou não (N) sangue para um indivíduo do grupo sanguíneo da coluna correspondente.
A tabela que mostra corretamente as compatibilidade dos glóbulos vermelhos entre doadores e receptores é:
Provas
Caderno Container