Foram encontradas 120 questões.
Disciplina: Administração de Recursos Materiais
Banca: CESPE / CEBRASPE
Orgão: FUB
No que diz respeito à gestão de estoque, julgue o item a seguir.
A ordenação do estoque pode seguir diferentes modos: ordem alfabética; forma farmacêutica ou Curva ABC de consumo. A curva ABC de consumo é uma classificação estatística de materiais, com base no princípio de Wilfredo Pareto, em que se considera a importância dos materiais em relação às quantidades utilizadas e ao seu valor.
Provas
Com relação à hemovigilância, julgue o item subsecutivo.
Quando os testes de triagem forem reagentes (positivos ou inconclusivos) em um doador de sangue que, em doações anteriores, apresentava teste não reagente (soroconversão ou viragem), o serviço de hemoterapia deverá adotar procedimentos de retrovigilância.
Provas
- SUSLei 8.080/1990: Lei Orgânica da SaúdeSistema Único de SaúdeArts. 8º ao 14-B: Organização, Direção e Gestão
- Planejamento e Gestão
Com relação à hemovigilância, julgue o item subsecutivo.
As reações adversas graves e os óbitos relacionados à doação devem ser notificados ao sistema de vigilância sanitária.
Provas
- SUSLei 8.080/1990: Lei Orgânica da SaúdeSistema Único de SaúdeArts. 8º ao 14-B: Organização, Direção e Gestão
- Planejamento e Gestão
Com relação à hemovigilância, julgue o item subsecutivo.
A hemovigilância caracteriza um conjunto de procedimentos de vigilância que monitora as reações adversas que ocorrem durante ou após a transfusão sanguínea, ou seja, trata-se, exclusivamente, da vigilância das reações transfusionais.
Provas
Julgue o item que se segue, relativo ao medicamento a ser utilizado por uma paciente obesa que tenha recebido o diagnóstico de diabetes melito, distúrbio metabólico crônico caracterizado pelo aumento nos níveis sanguíneos de glicose.
Caso essa paciente não tenha células pancreáticas funcionais, o uso de metformina não seria eficaz no controle da glicemia, já que fármacos do grupo das biguanidas atuam de maneira restrita por meio do estímulo a células beta funcionais à produção de insulina.
Provas

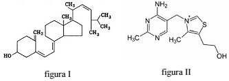
As fórmulas estruturais representadas nas figuras I e II correspondem às vitaminas calciferol e tiamina, respectivamente. Considerando essas informações, julgue o item seguinte.
A vitamina mostrada na figura I é obtida exclusivamente por meio de alimentação e está presente principalmente em vegetais folhosos de cor escura.
Provas

As fórmulas estruturais representadas nas figuras I e II correspondem às vitaminas calciferol e tiamina, respectivamente. Considerando essas informações, julgue o item seguinte.
A figura II mostra uma vitamina hidrossolúvel que, após ser ingerida na alimentação, é absorvida pelo intestino e transportada pelo sistema circulatório para os tecidos.
Provas

As fórmulas estruturais representadas nas figuras I e II correspondem às vitaminas calciferol e tiamina, respectivamente. Considerando essas informações, julgue o item seguinte.
Pessoas que apresentam deficiência da vitamina representada na figura II podem demonstrar sintomas como cansaço, irritabilidade, perda da memória e do apetite, perturbações do sono, mal-estar abdominal e perda de peso.
Provas

As fórmulas estruturais representadas nas figuras I e II correspondem às vitaminas calciferol e tiamina, respectivamente. Considerando essas informações, julgue o item seguinte.
A vitamina representada na figura I é solúvel em água e, após a absorção, é armazenada no fígado
Provas
Em um laboratório farmacêutico, o doseamento do ácido benzoico deverá ser realizado pesando-se exatamente 200 mg da amostra e dissolvendo-a em 20 mL de etanol. Em seguida, deve-se titular o dissolvido com hidróxido de sódio 0,1 M SV, utilizando-se vermelho de fenol SI até a formação de coloração violeta, correspondente ao ponto final da titulação.
A partir dessas informações, julgue o item a seguir, considerando a massa molar do ácido benzoico (C7H6O2) igual a 122,12 g/mol e a massa molar do hidróxido de sódio (NaOH) igual a 40 g/mol.
Essa titulação deverá ser realizada com uma pipeta volumétrica totalmente preenchida com vermelho de fenol SI.
Provas
Caderno Container