Foram encontradas 100 questões.
Um sistema constituído, inicialmente, por gelo a 253 K foi gradualmente aquecido até 400 K sob pressão constante de 1 atm. Durante o aquecimento, o gelo fundiu a 273 K e, posteriormente, a água entrou em ebulição a 373 K. Considere que a água gasosa, a 1 atm, seja um gás ideal cuja capacidade calorífica molar a pressão constante
não varia no intervalo de temperaturas entre 373 K e 400 K.
Com referência à situação hipotética descrita acima, julgue os itens.
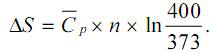
A variação de entropia (ΔS) correspondente ao aquecimento de n mols de água gasosa de 373 K a 400 K, à pressão constante de 1atm, pode ser corretamente calculada por meio da seguinte expressão:Com referência à situação hipotética descrita acima, julgue os itens.

Provas
Questão presente nas seguintes provas
Um sistema constituído, inicialmente, por gelo a 253 K foi gradualmente aquecido até 400 K sob pressão constante de 1 atm. Durante o aquecimento, o gelo fundiu a 273 K e, posteriormente, a água entrou em ebulição a 373 K. Considere que a água gasosa, a 1 atm, seja um gás ideal cuja capacidade calorífica molar a pressão constante
não varia no intervalo de temperaturas entre 373 K e 400 K.
Com referência à situação hipotética descrita acima, julgue os itens.
Na temperatura de fusão do gelo, com pressão e temperatura constantes, é válida a igualdade: Com referência à situação hipotética descrita acima, julgue os itens.
Provas
Questão presente nas seguintes provas
Um sistema constituído, inicialmente, por gelo a 253 K foi gradualmente aquecido até 400 K sob pressão constante de 1 atm. Durante o aquecimento, o gelo fundiu a 273 K e, posteriormente, a água entrou em ebulição a 373 K. Considere que a água gasosa, a 1 atm, seja um gás ideal cuja capacidade calorífica molar a pressão constante
não varia no intervalo de temperaturas entre 373 K e 400 K.
Com referência à situação hipotética descrita acima, julgue os itens.
A 1 atm, a fusão do gelo não ocorre espontaneamente em temperaturas inferiores a 273 K, porque o processo levaria a uma diminuição da entropia do sistema.Com referência à situação hipotética descrita acima, julgue os itens.
Provas
Questão presente nas seguintes provas
Os métodos espectrométricos têm sido cada vez mais utilizados em química analítica em substituição aos métodos clássicos tradicionais, na determinação de elementos e compostos.
Com relação a fundamentos, equipamentos e ferramentas envolvidos na aplicação desses métodos, julgue os itens seguintes.
Em espectrometria de absorção, o uso de feixe duplo em um equipamento tem o objetivo de minimizar a ocorrência de erros decorrentes de variações de intensidade do feixe incidente sobre a amostra devido a variações de voltagem na fonte de radiação.Com relação a fundamentos, equipamentos e ferramentas envolvidos na aplicação desses métodos, julgue os itens seguintes.
Provas
Questão presente nas seguintes provas
Os métodos espectrométricos têm sido cada vez mais utilizados em química analítica em substituição aos métodos clássicos tradicionais, na determinação de elementos e compostos.
Com relação a fundamentos, equipamentos e ferramentas envolvidos na aplicação desses métodos, julgue os itens seguintes.
Um porta-amostras de vidro de silicato é adequado para a realização de análises por espectrometria de absorção molecular nas regiões do ultravioleta e do visível.Com relação a fundamentos, equipamentos e ferramentas envolvidos na aplicação desses métodos, julgue os itens seguintes.
Provas
Questão presente nas seguintes provas
Os métodos espectrométricos têm sido cada vez mais utilizados em química analítica em substituição aos métodos clássicos tradicionais, na determinação de elementos e compostos.
Com relação a fundamentos, equipamentos e ferramentas envolvidos na aplicação desses métodos, julgue os itens seguintes.
Nas técnicas espectrométricas de absorção e fluorescência atômicas, utilizam-se métodos similares para introdução e atomização das amostras.Com relação a fundamentos, equipamentos e ferramentas envolvidos na aplicação desses métodos, julgue os itens seguintes.
Provas
Questão presente nas seguintes provas
A utilização de fertilizantes e agrotóxicos é uma imposição da sociedade moderna, tendo em vista a necessidade de produção de alimentos para todos. No entanto, sua utilização de forma inadequada pode provocar danos ambientais, sendo necessário um rigoroso controle dos níveis de contaminação.
A respeito desse tema, julgue os itens que se seguem.
A concentração de sulfetos presentes em águas de riachos, próximos a grandes plantações, pode ser determinada por iodometria.A respeito desse tema, julgue os itens que se seguem.
Provas
Questão presente nas seguintes provas
Com relação à Lei n.º 8.112/1990, em cada um dos itens
seguintes é apresentada uma situação hipotética, seguida de
uma assertiva a ser julgada.
Pedro, que é colombiano de nascença, obteve a cidadania brasileira. Nessa situação, mesmo que preenchidos os demais requisitos exigidos, ele não poderá ocupar cargo público, já que não é brasileiro nato.seguintes é apresentada uma situação hipotética, seguida de
uma assertiva a ser julgada.
Provas
Questão presente nas seguintes provas
- Agentes PúblicosCargos, Empregos e Funções PúblicasAcumulação de Cargos, Empregos e Funções Públicas
- Lei 8.112/1990: RJU
Com relação à Lei n.º 8.112/1990, em cada um dos itens
seguintes é apresentada uma situação hipotética, seguida de
uma assertiva a ser julgada.
Gustavo, que detém cargo efetivo federal, foi nomeado para ocupar cargo em comissão. Logo depois, foi nomeado para ter exercício em outro cargo de confiança, como interino. Nesse caso, a situação de Gustavo é ilegal, já que estaria ocupando três cargos públicos.seguintes é apresentada uma situação hipotética, seguida de
uma assertiva a ser julgada.
Provas
Questão presente nas seguintes provas
- Agentes PúblicosCargos, Empregos e Funções PúblicasAcessoConcurso Público
- Agentes PúblicosCargos, Empregos e Funções PúblicasProvimento e Vacância
- Lei 8.112/1990: RJU
Com relação à Lei n.º 8.112/1990, em cada um dos itens
seguintes é apresentada uma situação hipotética, seguida de
uma assertiva a ser julgada.
Joana foi aprovada no seu primeiro concurso público federal, tendo sido publicado ato de nomeação em 5 de junho de 2009. Dessa forma, Joana terá que tomar posse até 5 de julho de 2009, sob pena de se tornar sem efeito o ato de nomeação.seguintes é apresentada uma situação hipotética, seguida de
uma assertiva a ser julgada.
Provas
Questão presente nas seguintes provas
Cadernos
Caderno Container