Foram encontradas 40 questões.
A Lei 3.431/2001 autorizou o poder executivo
Municipal a criar a fundação hospitalar Santa
Terezinha de Erechim. Considerando o teor da Lei,
assinale a alternativa correta:
Provas
Questão presente nas seguintes provas
3284913
Ano: 2024
Disciplina: Administração Financeira e Orçamentária
Banca: EPL
Orgão: FHSTE-RS
Disciplina: Administração Financeira e Orçamentária
Banca: EPL
Orgão: FHSTE-RS
Provas:
Responda considerando os procedimentos
contábeis do SIAFIC, tratados no Decreto Federal
nº10.540/20:
I - O registro representará integralmente o fato ocorrido, observada a tempestividade necessária para que a informação contábil gerada não perca a sua utilidade, e será efetuado conforme o mecanismo de débitos e créditos em partidas dobradas.
II - Na hipótese de transação em moeda estrangeira, esta será convertida em moeda nacional e será aplicada a taxa de câmbio na data de referência estabelecida em norma aplicável.
III - Os registros contábeis serão efetuados de forma sintética e refletirão a transação com base em documentação de suporte que assegure o cumprimento da característica qualitativa da verificabilidade.
IV - O Siafic não permitirá a acumulação dos registros por centros de custos.
Está correto apenas o contido em:
I - O registro representará integralmente o fato ocorrido, observada a tempestividade necessária para que a informação contábil gerada não perca a sua utilidade, e será efetuado conforme o mecanismo de débitos e créditos em partidas dobradas.
II - Na hipótese de transação em moeda estrangeira, esta será convertida em moeda nacional e será aplicada a taxa de câmbio na data de referência estabelecida em norma aplicável.
III - Os registros contábeis serão efetuados de forma sintética e refletirão a transação com base em documentação de suporte que assegure o cumprimento da característica qualitativa da verificabilidade.
IV - O Siafic não permitirá a acumulação dos registros por centros de custos.
Está correto apenas o contido em:
Provas
Questão presente nas seguintes provas
3284912
Ano: 2024
Disciplina: Administração Financeira e Orçamentária
Banca: EPL
Orgão: FHSTE-RS
Disciplina: Administração Financeira e Orçamentária
Banca: EPL
Orgão: FHSTE-RS
Provas:
Assinale a alternativa correta, considerando o
Decreto Federal nº10.540/2020 que dispõe sobre o
padrão mínimo de qualidade do Sistema Único e
Integrado de Execução Orçamentária,
Administração Financeira e Controle (SIAFIC):
Provas
Questão presente nas seguintes provas
3284911
Ano: 2024
Disciplina: Administração Financeira e Orçamentária
Banca: EPL
Orgão: FHSTE-RS
Disciplina: Administração Financeira e Orçamentária
Banca: EPL
Orgão: FHSTE-RS
Provas:
Considere as assertivas abaixo acerca da
Programação da Despesa dos entes públicos e
responda:
I- Imediatamente após a promulgação da Lei de Orçamento e com base nos limites nela fixados, o Poder Legislativo aprovará um quadro de cotas trimestrais da despesa que cada unidade orçamentária fica autorizada a utilizar.
II- A programação da despesa orçamentária levará em conta os créditos adicionais e as operações extraorçamentárias.
III - As cotas trimestrais poderão ser alteradas durante o exercício, observados o limite da dotação e o comportamento da execução orçamentária.
IV – A fixação das cotas trimestrais deverá manter durante o exercício, na medida do possível o equilíbrio entre a receita arrecadada e a despesa realizada, de modo a reduzir ao mínimo eventuais suficiências de tesouraria.
Está correto o que se afirma em:
I- Imediatamente após a promulgação da Lei de Orçamento e com base nos limites nela fixados, o Poder Legislativo aprovará um quadro de cotas trimestrais da despesa que cada unidade orçamentária fica autorizada a utilizar.
II- A programação da despesa orçamentária levará em conta os créditos adicionais e as operações extraorçamentárias.
III - As cotas trimestrais poderão ser alteradas durante o exercício, observados o limite da dotação e o comportamento da execução orçamentária.
IV – A fixação das cotas trimestrais deverá manter durante o exercício, na medida do possível o equilíbrio entre a receita arrecadada e a despesa realizada, de modo a reduzir ao mínimo eventuais suficiências de tesouraria.
Está correto o que se afirma em:
Provas
Questão presente nas seguintes provas
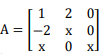
O determinante da matriz
é
negativo quando x está no intervalo
{x ∈ ℝ: m < x < n}. Nessa situação, qual o valor de
n − m?
é
negativo quando x está no intervalo
{x ∈ ℝ: m < x < n}. Nessa situação, qual o valor de
n − m?Provas
Questão presente nas seguintes provas
O resultado de exame de colesterol o LDL é
igual a 90 mg/dL. Nessa situação, qual o valor da
medida do LDL, caso o resultado do exame fosse
fornecido em g/L?
Provas
Questão presente nas seguintes provas
Dos 45 médicos que atuam em um hospital,
apenas 10 são pediatras. Encolhendo-se dois
desses médicos ao acaso, qual a probabilidade de
que ambos sejam pediatras?
Provas
Questão presente nas seguintes provas
Em um hospital, há 200 pacientes internados,
dos quais 32% são do sexo feminino. Quantos
pacientes do sexo masculino devem receber alta
para que o número de pacientes do sexo feminino
passe a representar 64% do total de pacientes que
permanecem internados nesse hospital?
Provas
Questão presente nas seguintes provas
Um hospital fixou escala entre as médicas
plantonistas: Ana, Bia e Célia. A escala estabelece
que Ana trabalhará a cada 8 dias; Bia, a cada 10 dias
e Célia, a cada 12 dias. Considerando essa situação
hipotética, se as três médicas tiverem trabalhado
juntas no dia de hoje, então a próxima vez que elas trabalharão juntas novamente nesse hospital será
daqui a
Provas
Questão presente nas seguintes provas
Em uma consulta a 60 pessoas que
frequentavam um shopping acerca da preferência
deles entre os filmes Barbie e Besouro Azul, apenas
5 deles não assistiram a nenhum dos dois filmes.
Entre os demais, 37 assistiram ao filme Barbie e 42
assistiram ao filme Besouro Azul. Nessas condições,
quantas dessas pessoas assistiram aos dois filmes?
Provas
Questão presente nas seguintes provas
Cadernos
Caderno Container