Magna Concursos

Foram encontradas 40 questões.

758303 Ano: 2015
Disciplina: Português
Banca: UPENET/IAUPE
Orgão: Expresso Cidadão
Como ensinar valores ao seu filho?
Segundo uma das definições mais aceitas na Educação, proposta pelo biólogo suíço Jean Piaget (1896-1980), valores são investimentos afetivos. Isso quer dizer que, apesar de se apoiarem em conceitos, estão ligados a emoções, tanto positivas quanto negativas. Educar para os valores é transmitir aos filhos ou alunos ideias em que realmente acreditamos – por exemplo, que vale a pena ouvir enquanto outra pessoa estiver falando. Ou que ficar muito tempo no chuveiro pode levar à falta de água para todos. Ou ainda que cada um é responsável por seus atos.
A transmissão de valores é uma das preocupações que todo pai tem ao educar. Como fazer isso no dia a dia? Quais valores precisam ser passados? A escola pode ajudar? É natural que dúvidas acabem surgindo: o assunto é sério. Sem transmitir valores humanos universais, não há como formar cidadãos éticos e preparados para viver em sociedade. Apesar de não existirem respostas simples, é possível apontar caminhos a serem seguidos, com o objetivo de amenizar alguns problemas de comportamento enfrentados atualmente.
Indisciplina, rebeldia, birra infantil, envolvimento dos jovens com álcool e drogas e os insatisfatórios níveis de aprendizagem estão entre as reclamações mais comuns das famílias (e das escolas). A pergunta que fica é "como chegamos a esse ponto?". Para o psicoterapeuta e consultor organizacional José Ernesto Bologna, a realidade de hoje é consequência das transformações que marcaram o século 20 – perda do papel da religião como fonte de moralidade, desestruturação da família e, também, nascimento de um novo status para o jovem, que passou a ser reconhecido como uma força social com vontade própria. "Ser jovem passou a ser um ideal para toda a sociedade, mesmo para os idosos", afirma.
Muitos pais associam a educação fincada na moral e nos valores com autoritarismo e acreditam ser isso um retrocesso ao conservadorismo. Educar para os valores é convidar alguém a acreditar naquilo que apreciamos, como, por exemplo, respeitar o próximo. Não há valor que se sustente sem bons exemplos. Não adianta os pais defenderem que a criança não pode agir como se ela fosse o centro do universo se eles próprios o fazem em seu dia a dia.
Os pais podem pedir o apoio da escola? A educação requer informação e apoio, e a escola pode ser um braço direito nessa questão. O problema é que muitos pais pedem socorro aos professores, mas nunca abrem mão de suas próprias soluções. “Cada vez mais, quando a escola toma medidas disciplinadoras, a primeira providência dos pais é passar a mão na cabeça dos filhos, justificando seus atos e posicionando-se contra a escola”, reclama a diretora de um colégio de elite na zona sul de São Paulo.
A criança precisa perceber claramente que as regras são definidas por aquele que está no comando: na escola, o professor; em casa, os pais. “Família e escola precisam definir muito bem os seus códigos de conduta e têm o dever de fazer com que sejam seguidos pelos jovens”, afirma Flávio Gikovate, diretor do Instituto de Psicoterapia de São Paulo.
Disponível em: http://educarparacrescer.abril.com.br/comportamento/formacao-valores-413152.shtml Acesso em: 15 set. 2015. Adaptado.
Releia o último parágrafo do Texto , com especial atenção para as relações de concordância das formas verbais destacadas.
A criança precisa perceber claramente que as regras são definidas por aquele que está no comando: na escola, o professor; em casa, os pais. “Família e escola precisam definir muito bem os seus códigos de conduta e têm o dever de fazer com que sejam seguidos pelos jovens”, afirma Flávio Gikovate, diretor do Instituto de Psicoterapia de São Paulo.
Acerca das relações de concordância verbal estabelecidas nesse trecho, analise as afirmativas a seguir.
I. Os segmentos „escola", „professor", „casa" e „pais" são responsáveis pelo plural de “precisam”.
II. As formas verbais “precisam” e “têm” estão no plural em concordância com o mesmo sujeito, „Família e escola".
III. O plural da forma verbal “sejam” está em concordância com o segmento „os seus códigos".
IV. A forma verbal “afirma” está em concordância com o seu sujeito „Flávio Gikovate".
Estão CORRETAS, apenas:
 

Provas

Questão presente nas seguintes provas
758051 Ano: 2015
Disciplina: Raciocínio Lógico
Banca: UPENET/IAUPE
Orgão: Expresso Cidadão
As figuras abaixo foram elaboradas conforme uma regra.
Enunciado 758051-1
De acordo com essa regra de formação, a 59ª figura é
 

Provas

Questão presente nas seguintes provas
757717 Ano: 2015
Disciplina: Raciocínio Lógico
Banca: UPENET/IAUPE
Orgão: Expresso Cidadão
A sequência numérica a seguir foi composta por uma regra a partir do 3º número. Considerando que a sequência deva ser completada com números que obedeçam à mesma regra, assinale a alternativa que apresenta os números que a completam em ordem.
0 1 2 3 4 7 10
 

Provas

Questão presente nas seguintes provas
757428 Ano: 2015
Disciplina: Ética na Administração Pública
Banca: UPENET/IAUPE
Orgão: Expresso Cidadão
Sobre o conceito de ética, assinale a afirmativa INCORRETA.
 

Provas

Questão presente nas seguintes provas
757419 Ano: 2015
Disciplina: Raciocínio Lógico
Banca: UPENET/IAUPE
Orgão: Expresso Cidadão
No ano em que o dia de São João (24 de junho) ocorre em uma sexta-feira, o dia de Natal (25 de dezembro) acontece em um(a)
 

Provas

Questão presente nas seguintes provas
757256 Ano: 2015
Disciplina: Ética na Administração Pública
Banca: UPENET/IAUPE
Orgão: Expresso Cidadão
Cidadania é um conceito
 

Provas

Questão presente nas seguintes provas
754395 Ano: 2015
Disciplina: Raciocínio Lógico
Banca: UPENET/IAUPE
Orgão: Expresso Cidadão
Em determinado concurso, a regra para desempate entre os candidatos deve obedecer à seguinte ordem de critérios:
I. Maior idade
II. Maior nota na prova escrita
Considere que, para a última vaga a ser preenchida, haja exatamente dois candidatos, que, empatados em todos os outros critérios, difiram em ambos os critérios acima. Para que a regra de desempate NÃO seja cumprida, basta que o candidato classificado
 

Provas

Questão presente nas seguintes provas
749488 Ano: 2015
Disciplina: Raciocínio Lógico
Banca: UPENET/IAUPE
Orgão: Expresso Cidadão
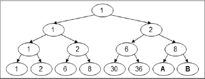
Considerando o padrão de organização do diagrama a seguir, quais valores substituem, CORRETA e respectivamente, A e B?
Enunciado 749488-1
 

Provas

Questão presente nas seguintes provas
745187 Ano: 2015
Disciplina: Ética e Regulação Profissional
Banca: UPENET/IAUPE
Orgão: Expresso Cidadão

Com relação à ética profissional, analise os seguintes itens:

I. Os códigos de ética expressam a filosofia de ação profissional, o que confere verdadeiro sentido à profissão.

II. O conhecimento científico por si só não garante uma conduta profissional ética.

III. Algumas condutas antiéticas extrapolam o limite das relações entre indivíduos e se tornam objeto de relação política, o que fomenta a elaboração de códigos de ética de grupos profissionais, a exemplo do código dos servidores públicos.

IV. Ética e moral têm o mesmo sentido, sem distinção.

V. A moral é a mais importante para reger as condutas do servidor público.

Estão CORRETOS apenas

 

Provas

Questão presente nas seguintes provas
744072 Ano: 2015
Disciplina: Raciocínio Lógico
Banca: UPENET/IAUPE
Orgão: Expresso Cidadão
Considere as afirmativas:
I. As pessoas podem viver ao mesmo tempo no passado e no futuro.
II. O tio do meu irmão é meu tio.
III. Todo círculo é semelhante a outro.
Do ponto de vista lógico, está CORRETO o que se afirma em
 

Provas

Questão presente nas seguintes provas