Foram encontradas 730 questões.
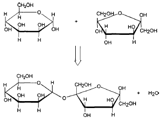
O esquema a seguir representa a formação da sacarose, um dissacarídeo, a partir da reação entre a glicose e a frutose:

Após analisar o esquema acima e com base nos seus conhecimentos sobre carboidratos, analise as afirmativas abaixo e, a seguir, assinale a alternativa correta.
I. O esquema acima representa uma reação de condensação.
II. A glicose é uma hexose e a frutose é uma pentose.
III. A degradação da sacarose é uma hidrólise.
IV. A formação de um polissacarídeo é uma polimerização de adição.
V. A ligação entre os dois anéis na sacarose é do tipo covalente.
Provas
Questão presente nas seguintes provas
TEXTO I
La historia está en nosotros o en ninguna parte. No está atrás, en ese lugar nebuloso que lIamamos pasado. No está en los libros que codifican esa historia, a menos que los hagamos nuestros, ni en los papeles muertos de nuestros archivos, a menos que los revivamos con nuestra mirada. Tampoco está en los templos, los museos o edificios mudos de nuestras ciudades, a menos que los hagamos hablar con nuestro conocimiento de otros tiempos y otros hombres.( ... )
Todo lo que hay en el reino deI hombre ha empezado y terminado alguna vez, todo es historia. Pero hay la historia que pasó y la historia que sigue sucediendo, eso que Fernand Braudel lIamó la historia de "larga duración", cuyos cambios, lentos y profundos, duran más que los gobiernos o las batallas.( ... )
Quisiera poner ahora el acento no tanto en las cosas que cambiaron esos acontecimientos centrales de nuestra historia, sino en algunos de los rasgos que parecen durar a través deI tiempo, que extienden su sombra hasta nosotros y son todavía la historia que somos.
(HÉCTOR, Aguilar Camín. Actualidad del pasado. Dos siglos de cambios y
costumbres políticas de México. Revista Nexos, n. 386, Febrero de 2010. p. 51).
Lo subrayado en las oraciones: "(...) duran más que los gobiernos o las batallas.(...)" "(...) está en los ... edificios mudos de nuestra ciudades(...)", corresponde respectivamente a un (a):
Provas
Questão presente nas seguintes provas
Em relação à administração de medicamento por injeção intramuscular, assinale a alternativa correta.
Provas
Questão presente nas seguintes provas
Considera-se característica histórica da urbanização brasileira:
Provas
Questão presente nas seguintes provas
Com relação à linguagem UML (Unified Modeling Language) para elaboração da estrutura de projetos de software, assinale a alternativa que contempla um tipo de item na UML.
Provas
Questão presente nas seguintes provas
Sobre tecnopolos, analise as afirmativas abaixo, colocando entre parênteses a letra "V", quando se tratar de afirmativa verdadeira, e a letra "F", quando se tratar de afirmativa falsa. A seguir, assinale a alternativa que apresenta a sequência correta.
( ) Tecnopolo é um centro de atividades industriais de alta tecnologia.
( ) Os Tecnopolos são dependentes de universidades.
( ) A Zona Franca de Manaus é um Tecnopolo.
( ) Há uma difusão de Tecnopolos nas metrópoles brasileiras.
Provas
Questão presente nas seguintes provas
Quanto aos principais critérios utilizados para a construção de um plano salarial, aquele que pode estabelecer diferentes planos, conforme os níveis hierárquicos ou grupos de funcionários, tecnicamente denomina-se:
Provas
Questão presente nas seguintes provas
Sobre a colonização da terra pelas plantas, analise as afirmativas abaixo e, a seguir, assinale a alternativa correta.
I. A colonização da terra foi condicionada pelo surgimento da flor.
II. A presença das plantas em terra firme possibilitou o estabelecimento da fotossíntese aeróbica.
III. O surgimento de vasos condutores foi essencial à ocupação da terra pelas plantas.
IV. mecanismos fisiológicos para a manutenção do equilíbrio hídrico asseguraram o sucesso evolutivo das plantas.
Provas
Questão presente nas seguintes provas
Algumas forças modelam a globalização das operações em empresas globais. Entre elas estão variáveis como os avanços em manufatura, transporte e comunicação e as barreiras não tarifárias. Ambas as variáveis pertencem às categorias de forças classificadas respectivamente como:
Provas
Questão presente nas seguintes provas
Sobre a forma clínica da tuberculose, analise as afirmativas abaixo e, a seguir, assinale a alternativa correta.
I. Qualquer órgão pode ser atingido pela tuberculose. Frequentemente são atingidos pulmões, gânglios linfáticos, pleura, laringe, rins, cérebro e ossos.
II. Dentre as condições que debilitam o sistema imunitário e que podem contribuir para o adoecimento pela tuberculose estão: infecção pelo HIV; diabetes; tratamento prolongado com corticosteroides; terapia imunossupressora; doenças renais crônicas e desnutrição proteico-calórica.
III. O Exame Bacteriológico Direto do Escarro é o método fundamental para o diagnóstico. Esse exame, quando executado corretamente, permite detectar de 70 a 80% dos casos de tuberculose pulmonar.
IV. A tuberculose não é uma doença grave. É curável em praticamente 100% dos casos, desde que os princípios da quimioterapia sejam seguidos.
V. A busca de casos deve ser feita apenas entre os contatos de casos de tuberculose.
Provas
Questão presente nas seguintes provas
Cadernos
Caderno Container