Foram encontradas 330 questões.
Um empréstimo de R$ 1.000,00, à taxa de 10% a.a., será pago em 5 prestações anuais. O valor da primeira prestação, a pagar pelo Sistema de Amortização Constante, e o saldo devedor, após esse pagamento, serão, em reais, respectivamente de
Provas
Questão presente nas seguintes provas
O Plano Anual da empresa previa a venda de 4 mil unidades do produto, no primeiro semestre, a um preço de R$ 100,00, gerando uma receita de R$ 400 mil. No final do semestre, apenas 3 mil unidades haviam sido vendidas a R$ 80,00 cada, gerando uma receita total de R$ 240 mil. A variação de desempenho das vendas foi de R$ 160 mil, ou seja, 40% das vendas esperadas. Quanto desse mau desempenho, em percentuais, é devido à redução nos preços e quanto é devido à redução no volume, respectivamente?
Provas
Questão presente nas seguintes provas
Considerando-se o conceito de RACI, utilizado pelo COBIT, para cada atividade, ilustrada em uma linha da matriz,
Provas
Questão presente nas seguintes provas
Uma impedância é percorrida por uma corrente igual a
A. A quantidade de energia consumida por essa impedância, durante 15 minutos, é igual a 125 kWh. A impedância, em
é igual a
A. A quantidade de energia consumida por essa impedância, durante 15 minutos, é igual a 125 kWh. A impedância, em
é igual aProvas
Questão presente nas seguintes provas

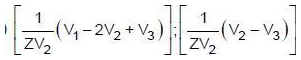
Considere o sistema de distribuição radial da figura acima, com as tensões nas barras 1, 2 e 3 conhecidas e valendo
(Volts), respectivamente. As impedâncias nas linhas de distribuição valem Z (Ohms). Nesse caso, na modelagem admitância constante, as cargas
têm como valores (Siemens), respectivamente,Provas
Questão presente nas seguintes provas
Um sistema trifásico ABC a quatro condutores, com tensões de linha e de fase, respectivamente, de 208 e 120 V, alimenta uma carga em estrela constituída por
Considere que a fase de
vale 0°. A corrente de neutro é
Considere que a fase de
vale 0°. A corrente de neutro éProvas
Questão presente nas seguintes provas

No circuito acima, os valores instantâneos da tensão e da corrente nos terminais de entrada são v(t) = 100 cos
A.Sabendo-se que
= 5 rad/s, os valores de R e L são dados, respectivamente, porProvas
Questão presente nas seguintes provas
- Proteção de Sistemas ElétricosProteção em Média Tensão
- Sistemas Elétricos de PotênciaAnálise de SEP
- Sistemas Elétricos de PotênciaDistribuição de Energia Elétrica
Considere o esquema apresentado na figura abaixo como um transformador submetido a um curto-circuito fase-terra e protegido por um relé diferencial, com sensibilidade determinada pela curva de 15%. O resistor de aterramento limita a corrente de falta
a 400 A. A corrente de carga
no instante da falta é de 500 A. Os TCs usados na proteção são idênticos e têm relação de transformação de corrente (RTC) de 400-5.

Nessas condições, conclui-se que o relé
a 400 A. A corrente de carga
no instante da falta é de 500 A. Os TCs usados na proteção são idênticos e têm relação de transformação de corrente (RTC) de 400-5.
Nessas condições, conclui-se que o relé
Provas
Questão presente nas seguintes provas
Nos terminais de entrada de determinado circuito monofásico, constituído por dois elementos em série, obtém-se o diagrama fasorial abaixo.

Dados V = 200 V, I = 50 A e
= 100 rad/s, as potências ativa e reativa consumidas por esse circuito são, respectivamente,

Dados V = 200 V, I = 50 A e
= 100 rad/s, as potências ativa e reativa consumidas por esse circuito são, respectivamente,Provas
Questão presente nas seguintes provas
Considere o consumo de energia de uma indústria separado por setores, para cada período do dia, conforme as tabelas abaixo.


Tenha em conta as unidades de bancos de capacitores disponíveis no mercado, em seus preços unitários.
10 KVAr - R$ 5.000,00
25 KVAr - R$ 10.000,00
50 KVAr - R$ 18.000,00
100 KVAr - R$ 35.000,00
Com a intenção de elevar o fator de potência para próximo da unidade, em todos os períodos do dia, e considerando a possibilidade de chaveamento dos bancos apresentados, a alternativa adequada de aquisição de bancos de capacitores (em KVAr) para essa instalação será


Tenha em conta as unidades de bancos de capacitores disponíveis no mercado, em seus preços unitários.
10 KVAr - R$ 5.000,00
25 KVAr - R$ 10.000,00
50 KVAr - R$ 18.000,00
100 KVAr - R$ 35.000,00
Com a intenção de elevar o fator de potência para próximo da unidade, em todos os períodos do dia, e considerando a possibilidade de chaveamento dos bancos apresentados, a alternativa adequada de aquisição de bancos de capacitores (em KVAr) para essa instalação será
Provas
Questão presente nas seguintes provas
Cadernos
Caderno Container