Magna Concursos

Foram encontradas 685 questões.

476477 Ano: 2010
Disciplina: Economia
Banca: CESPE / CEBRASPE
Orgão: DPU
Provas:
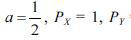
Considerando a função de utilidade U(X,Y) = enunciado 476477-1 onde (X,Y) são as quantidades dos bens com preços enunciado 476477-2 e 0 < a <1 é uma constante, assinale a opção correta em relação às demandas de um consumidor com renda R e restrição orçamentária usual.

 

Provas

Questão presente nas seguintes provas
476476 Ano: 2010
Disciplina: Economia
Banca: CESPE / CEBRASPE
Orgão: DPU
Provas:
Acerca do Sistema de Contas Nacionais (SCN) e das contas nacionais no Brasil, assinale a opção correta.

 

Provas

Questão presente nas seguintes provas
476475 Ano: 2010
Disciplina: Economia
Banca: CESPE / CEBRASPE
Orgão: DPU
Provas:
Assinale a opção correta com relação ao equilíbrio do consumidor.

 

Provas

Questão presente nas seguintes provas
476474 Ano: 2010
Disciplina: Economia
Banca: CESPE / CEBRASPE
Orgão: DPU
Provas:
Segundo a lei dos dispêndios crescentes, postulada por Adolf Wagner, em 1880, e válida até hoje, os gastos públicos têm uma tendência a representar parcelas cada vez maiores do produto interno bruto (PIB). A esse respeito, assinale a opção correta.

 

Provas

Questão presente nas seguintes provas
476473 Ano: 2010
Disciplina: Relações Públicas
Banca: CESPE / CEBRASPE
Orgão: DPU
No que concerne ao questionário, um instrumento de coleta de dados utilizado por diferentes tipos de pesquisa, assinale a opção correta.
 

Provas

Questão presente nas seguintes provas
476472 Ano: 2010
Disciplina: Relações Públicas
Banca: CESPE / CEBRASPE
Orgão: DPU
No que se refere a planejamento e técnicas de pesquisa, assinale a opção correta.
 

Provas

Questão presente nas seguintes provas
476471 Ano: 2010
Disciplina: Relações Públicas
Banca: CESPE / CEBRASPE
Orgão: DPU
O clipping é um dos recursos utilizados para a medição do retorno do trabalho de uma assessoria de imprensa. Sobre o clipping, assinale a opção correta.
 

Provas

Questão presente nas seguintes provas
476470 Ano: 2010
Disciplina: Relações Públicas
Banca: CESPE / CEBRASPE
Orgão: DPU
Com relação a instrumentos e técnicas de assessoria de imprensa, assinale a opção correta.
 

Provas

Questão presente nas seguintes provas
476469 Ano: 2010
Disciplina: Relações Públicas
Banca: CESPE / CEBRASPE
Orgão: DPU
A pesquisa é requisito para o planejamento de comunicação das organizações. A respeito de pesquisa em relações públicas, assinale a opção correta.
 

Provas

Questão presente nas seguintes provas
476468 Ano: 2010
Disciplina: Relações Públicas
Banca: CESPE / CEBRASPE
Orgão: DPU
Para Margarida Kunsch, o gerenciamento da comunicação organizacional, um dos objetivos das relações públicas, vale-se de dois tipos básicos de comunicação: a dirigida e a massiva. Com relação a esse assunto, assinale a opção correta.
 

Provas

Questão presente nas seguintes provas