Foram encontradas 580 questões.
Em uma determinada obra, foram recebidas 200 telhas padrão de fibrocimento tipo P3 para a execução da cobertura. Considere que o local de estocagem atende às orientações da NBR 7196:2014.
O menor número possível de pilhas das referidas telhas quando estocadas na horizontal é igual a:
Provas

Provas

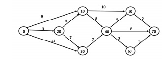
A folga da atividade 10→50 do projeto da questão anterior (Rede PERT – fig. 4) é de:
Provas
Determinado processo de tratamento de resíduos sólidos provoca a decomposição térmica do lixo, por meio da exposição a altas temperaturas e calor, quando colocado isoladamente em um reator com pouco ou nenhum oxigênio. No ambiente apenas o lixo é aquecido a uma temperatura entre 427 e 760 graus centígrados. A falta de oxigênio tem como objetivo evitar a combustão. Porém, eliminar completamente o oxigênio é impossível. A ocorrência de alguma oxidação possibilita, consequentemente, a formação de dioxinas e outras combinações que demandam tratamento dos gases.
Esse processo de tratamento é conhecido como:
Provas
Segundo a ABNT NBR 8160, desconector é um dispositivo provido de fecho hídrico, destinado a vedar a passagem de gases no sentido oposto ao deslocamento do esgoto. Esse é colocado para separar os esgotos primário e secundário.
Apresenta um exemplo de componente do sistema de esgotamento sanitário provido de desconector:
Provas
O gráfico mostra a variação da perda de carga J, em m/100 m, de uma tubulação de coeficiente de rugosidade C = 120, quando escoa água por gravidade entre dois reservatórios.

A cota da lâmina d’água do reservatório de jusante é de 20 m e o comprimento da tubulação entre os dois reservatórios é de 10.000 m.

Se o diâmetro da tubulação é de 400 mm, a cota da lâmina d’água do reservatório de montante, de onde parte a tubulação, é:
Provas
Em uma barragem de concreto foi instalada uma comporta de ferro fundido circular com diâmetro de 0,60 m. A figura mostra o perfil da comporta vertical, denotando sua profundidade.

Sabendo-se que o peso específico da água é de 9,8 x 103 N/m3 , o empuxo da água sobre a comporta é de:
Provas
Observe as figuras abaixo.

No AutoCAD um desenhista partiu do desenho da esquerda e, com a execução única de um comando, obteve o desenho da direita.
O comando utilizado foi:
Provas
Os conceitos de empolamento e contração são muito importantes no desenvolvimento do projeto de estradas relacionado ao movimento de terra.
Em um serviço de terraplenagem onde o volume dos cortes foi totalmente compensado nos aterros da estrada, sem a necessidade de aporte de materiais de jazidas, o volume de material no corte era de 2.000 m3 ; o volume solto transportado foi de 2.520 m3 ; e o volume após compactação no aterro foi de 1.800 m3 .
Nesse caso, o empolamento a ser considerado no orçamento do serviço é de:
Provas
Em um determinado ano, a precipitação média em uma bacia hidrográfica de 30.000 km2 foi de 620,6 mm. A descarga anual média do rio que drena a bacia é de 200 m3 /s.
Admitindo-se que o divisor topográfico da bacia coincide com o divisor hidrogeológico (não há fugas subterrâneas) e que não ocorrem explotações de água subterrânea na bacia, a evapotranspiração real da região, durante o ano considerado, foi de:
Provas
Caderno Container