Foram encontradas 765 questões.
Em um modelo que tenta avaliar a eficiência relativa dos diversos postos de atendimento da Defensoria Pública, espalhados pelo território fluminense, foi utilizada a variável “número de atendimentos” (dependente) e as quantidades de funcionários e de defensores (ambas como independentes). Os resultados finais da estimação foram aparentemente satisfatórios, mas os testes de hipóteses constataram que a variância dos resíduos não era constante, sendo maior nos postos com menores fluxos de atendimentos. Diante de tal constatação, os estimadores de Mínimos Quadrados Ordinários deverão ser
Provas
Questão presente nas seguintes provas
Para testar a renda média dos cidadãos efetivamente atendidos pela Defensoria Pública do Estado foi realizado um levantamento a partir dos registros já existentes, que geraram uma amostra aleatória de tamanho n=100, para a qual foi calculada a média amostral igual a R$ 920,00 por mês. Deseja-se demonstrar, cabalmente, que, em média, os beneficiários ganham menos do que R$ 1.000 por mês. Além disso, o desvio-padrão populacional é conhecido, sendo igual a 500. Portanto, se ⌀ (- 2,00 ) = 2,28 % e ⌀ ( -1,50 ) = 6,68 % , onde ⌀ ( , ) é a distribuição acumulada da Normal Padrão. Então, neste caso, a hipótese nula seria
Provas
Questão presente nas seguintes provas
Suponha que para a realização de um teste de hipóteses sobre determinado parâmetro estão disponíveis duas alternativas. Na tabela abaixo são apresentadas as probabilidades de rejeição da hipótese nula quando ela é falsa.
Testes Simulações do Valor Verdadeiro do Parâmetro
Alternativos θ1 θ2 θ3 θ4 θ5
Testes Simulações do Valor Verdadeiro do Parâmetro
Alternativos θ1 θ2 θ3 θ4 θ5
Pr(alternativa 1) 0,73 0,84 0,92 0,95 0,98
Pr(alternativa 2) 0,68 0,80 0,85 0,91 0,97
Então, pode-se afirmar que
Provas
Questão presente nas seguintes provas
O tempo de duração dos processos é de fundamental importância porque, enquanto os feitos não se encerram, a Defensoria Pública precisa manter profissionais alocados, cuidando da tramitação. Para fins de estudos foi montada, com dados históricos, a seguinte distribuição de frequências

Supondo uma distribuição uniforme dos processos dentro dos intervalos de classe, é possível afirmar que o percentil de ordem 90 e o quarto decil valem, respectivamente

Supondo uma distribuição uniforme dos processos dentro dos intervalos de classe, é possível afirmar que o percentil de ordem 90 e o quarto decil valem, respectivamente
Provas
Questão presente nas seguintes provas
Considere uma população cuja função densidade de probabilidade de sua distribuição é dada por f(x) = 2/δ2 x , para 0 < x <
e zero, caso contrário. Seja x1 , x2 , ... , x n-1e xn uma amostra aleatória simples daquela população. Então o estimador de máxima verossimilhança da média da distribuição será dado por
e zero, caso contrário. Seja x1 , x2 , ... , x n-1e xn uma amostra aleatória simples daquela população. Então o estimador de máxima verossimilhança da média da distribuição será dado porProvas
Questão presente nas seguintes provas
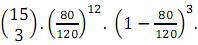
As pessoas que procuram a Defensoria Pública podem estar interessadas em ingressar com um processo para garantir seus direitos ou se defender em processos, ajuizados contra elas. Em um determinado mês, de um total de 120 casos, 80 dos atendidos eram autores enquanto os outros 40 figuravam como réus. Se uma amostra de 15 processos, daquele mês, é selecionada ao acaso, a probabilidade de que 20% sejam réus é igual a
Provas
Questão presente nas seguintes provas
Através de um estudo para fins comparativos, entre o perfil dos cidadãos que procuram a Defensoria Pública e a natureza dos seus problemas ou dificuldades levantadas, foram obtidos, considerando-se o total de processos, os seguintes percentuais:

Provas
Questão presente nas seguintes provas
As distribuições de renda dos cidadãos que recorrem aos serviços da Defensoria Pública têm se modificado ao longo do tempo. Para os anos de 2000 e 2010, considerados os valores em termos reais e modas únicas, observou-se que Moda2000 = 680,00 , Moda2010 = 720 e Mèdia2010 = 915 . Supondo que as medianas são tais que Mediana2000 > Mediana2010 , então
Provas
Questão presente nas seguintes provas
Um dos resultados mais importantes para a qualidade dos estimadores de MQO é o Teorema de Gauss-Markov que, mediante alguns poucos pressupostos é capaz de garantir propriedades dos estimadores. São indispensáveis à aplicabilidade de Gauss-Markov
Provas
Questão presente nas seguintes provas
Sejam A, B e C eventos de um espaço amostral S, com A e C mutuamente exclusivos e tais que P(A/B) = 2/3, P(C/B) = 3/4 e P ( B ∩( A ∪ C ) ) = 1/3. Então, as probabilidades permitem concluir que P(B) é
Provas
Questão presente nas seguintes provas
Cadernos
Caderno Container