Foram encontradas 239 questões.
Com o objetivo de conhecer o nível de satisfação dos
servidores da Defensoria Pública do Paraná em relação ao
Plano de Carreira, Cargos e Salários (PCCS), foi solicitado a
um Estatístico um levantamento por amostragem. Neste
sentido, qual o tamanho mínimo da amostra (n) admitindo-se
que o erro amostral não ultrapasse 4% (E = 0,04). Considere
N = 800 funcionários.
Provas
Questão presente nas seguintes provas
O governo do Estado do Paraná deseja avaliar as condições de vida dos seus habitantes, e para isso realizou um levantamento do
perfil socioeconômico da população, utilizando informações do Censo Demográfico de 2010, disponibilizadas pelo Instituto de
Geografia e Estatística (IBGE), com intuito de criar um indicador que represente as variáveis originais, obtendo assim uma medida
geral e sintética da condição de vida da população paranaense. Nesse sentido, empregou-se a técnica de Análise Multivariada de
Dados - Análise Fatorial. Diante do exposto e com base na tabela abaixo que apresenta os resultados da Análise Fatorial, é correto afirmar:


Provas
Questão presente nas seguintes provas
Em uma amostra de 200 funcionários públicos da Defensoria
Pública do Estado do Paraná, verificou-se que 80
funcionários tinham habilidades com ferramentas de gestão.
O intervalo de confiança de 95% para a proporção é
respectivamente:
Provas
Questão presente nas seguintes provas
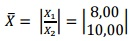
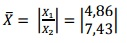
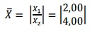
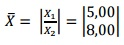
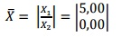
Determine o vetor de médias amostrais do conjunto de
dados abaixo.
X1
4 2 5 3 8 7 5
X2 4 7,5 9 8 5 10 8.5
X1
4 2 5 3 8 7 5
X2 4 7,5 9 8 5 10 8.5
Provas
Questão presente nas seguintes provas
O Estado do Paraná deseja selecionar uma amostra de
domicílios que têm cães e/ou gatos domésticos, com o intuito
de planejar a próxima campanha da vacina antirrábica. Para
isto, foi realizado um plano amostral, em que foi selecionada
amostras dos municípios, em seguida, foi feita amostras dos
bairros de cada município amostrado, e por fim, sorteou-se
quarteirões dos bairros selecionados, tendo em vista que para
estes serão entrevistados todos os domicílios dos quarteirões
sorteados.
Diante desse contexto, qual técnica de amostragem deverá ser
utilizada?
Provas
Questão presente nas seguintes provas
Sobre as características do modelo de regressão linear
simples, analise as sentenças abaixo e assinale a alternativa
correta.
I - O modelo de regressão é linear nos parâmetros ( Yi=β₀+β₁Xi+εi ) II - Homocedasticidade ou variância igual do erro εi III - O número de observações na amostra deve ser inferior ao número de parâmetros do modelo IV – A covariância entre o εi e Xi é zero, ou COV = (εi,Xi)= E(εi,Xi) =0
I - O modelo de regressão é linear nos parâmetros ( Yi=β₀+β₁Xi+εi ) II - Homocedasticidade ou variância igual do erro εi III - O número de observações na amostra deve ser inferior ao número de parâmetros do modelo IV – A covariância entre o εi e Xi é zero, ou COV = (εi,Xi)= E(εi,Xi) =0
Provas
Questão presente nas seguintes provas
Os valores da média, mediana e moda da distribuição de
frequência apresentada na tabela, são respectivamente:


Provas
Questão presente nas seguintes provas
Sobre as técnicas de amostragem, analise os tópicos I, II, III
e IV, em seguida assinale a alternativa que contém as
afirmações verdadeiras. I – A amostragem aleatória simples consiste em selecionar n
unidades amostrais, de modo que cada unidade tenha a
mesma chance de ser escolhida, tendo população homogênea.
II – A amostra estratificada subdivide uma população
heterogênea (denominados estratos), segundo variável (is) de
interesse. Os estratos têm como objetivo controlar a
variabilidade e, deste modo controlar o tamanho da amostra.
III – Na amostragem aleatória estratificada proporcional os
tamanhos dos estratos são iguais.
IV – A amostragem sistemática é uma variação da
amostragem aleatória simples, sendo recomendada quando a
população está ordenada de forma tal, que cada elemento seja
identificado unicamente pela sua posição.
Provas
Questão presente nas seguintes provas
A Defensoria Pública do Estado do Paraná contratou um
estatístico para elaborar uma pesquisa com o intuito de saber
se a população de quatro dos municípios (adotados como
pilotos na pesquisa) que integram o Estado conhecem os
serviços oferecidos pela Defensoria. A tabela apresenta a
população dos quatros municípios pilotos, conforme
estimativas populacionais de 2016 divulgadas pelo Instituto
de Geografia e Estatística (IBGE). Com base nessas
informações e considerando o tamanho da amostra n = 6.000
habitantes, o tamanho amostral dos estratos,
respectivamente, que serão usados na pesquisa são:
Provas
Questão presente nas seguintes provas
Dois jogadores de basquete (Marco e João) praticam
arremessos na cesta. A probabilidade de Marco acertar a cesta
é de 2/4
e a probabilidade de João acertar a cesta é 3/4
.
Admitindo que os dois eventos são independentes, qual a
probabilidade de ambos acertarem a cesta?
Provas
Questão presente nas seguintes provas
Cadernos
Caderno Container