Foram encontradas 466 questões.
Figura para a questão

Provas
Questão presente nas seguintes provas

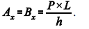
A viga rígida apresentada na figura acima está submetida a uma força P, aplicada na sua extremidade do lado direito. A viga é suportada na extremidade do lado esquerdo por dois pinos, A e B, conforme ilustrado. Desprezando-se o peso próprio da viga e o atrito nos pinos, é correto afirmar, em relação às reações nos pinos A e B, respectivamente, Ax e Bx, na direção x, e às reações nos pinos A e B, respectivamente, Ay e By, na direção y, que
Provas
Questão presente nas seguintes provas
O ciclo Diesel a quatro tempos, embora também possa ser usado
em motores de automóveis, tem maior emprego em motores de
grande potência e dimensões, como os utilizados em embarcações
marítimas, locomotivas, caminhões, geradores, entre outros.
Assinale a opção cujas características apresentadas correspondem
às dos motores do ciclo Diesel.
Provas
Questão presente nas seguintes provas
A capacidade e a pressão necessárias em uma instalação de
bombeamento podem ser definidas com a ajuda de um gráfico
chamado curva do sistema ou curva de carga. De forma análoga,
o gráfico de variação da capacidade com a pressão para uma
bomba particular define a curva característica de desempenho da
bomba ou curva da bomba. A comparação entre a curva de carga
e a curva da bomba permite
Provas
Questão presente nas seguintes provas
A maneira pela qual é feita a intervenção nos equipamentos,
sistemas ou instalações caracteriza os vários tipos de manutenção
existentes. Rotinas de manutenção, como troca ou limpeza de
filtros, limpezas de qualquer natureza, lubrificação, ajustes e
calibrações, são operações classificadas como
Provas
Questão presente nas seguintes provas
As turbinas a gás são máquinas térmicas que realizam a
conversão da energia de um combustível em potência de
propulsão, potência de eixo ou potência elétrica. As turbinas a gás
operam segundo o ciclo termodinâmico denominado
Provas
Questão presente nas seguintes provas
Bombas hidráulicas são máquinas hidráulicas que têm como
função fornecer energia para a água, a fim de recalcá-la (elevá-la), por meio da conversão de energia mecânica de seu rotor
proveniente de uma fonte motora, geralmente um motor elétrico.
No que se refere a bombas hidráulicas, a altura manométrica de
uma instalação de bombeamento é corretamente definida como
Provas
Questão presente nas seguintes provas
No Brasil, a gasolina automotiva é comercializada com diferentes
octanagens. A octanagem ou índice de octanas é uma indicação
Provas
Questão presente nas seguintes provas

Considere que, no circuito elétrico representado acima, o amplificador operacional seja ideal e que o ajuste das tensões va e vb das fontes de tensão sejam tais que a tensão de saída vo situe-se na faixa de operação linear do amplificador operacional. Com base nessas informações, o valor da resistência Rf , em kΩ, que permite um ajuste tal que a tensão vo seja igual a 3vb-2va é igual a
Provas
Questão presente nas seguintes provas

Considere o circuito elétrico mostrado na figura acima, com tensão de entrada e de saída vi(t) e vo(t) respectivamente. As transformadas de Laplace associadas a esses sinais são Vi(s) e V0(s), respectivamente. A relação, no domínio s, da tensão de saída e de entrada resulta na função de transferência de um filtro. A respeito da função de transferência relacionando V0(s) e Vi(s), assinale a opção correta.
Provas
Questão presente nas seguintes provas
Cadernos
Caderno Container