Magna Concursos

Foram encontradas 550 questões.

58293 Ano: 2009
Disciplina: TI - Redes de Computadores
Banca: CESGRANRIO
Orgão: DECEA

A matriz de uma empresa é interligada a suas filiais por meio de links privados de comunicação de dados utilizando encapsulamento HDLC. Esse encapsulamento NÃO provê o(a)

 

Provas

Questão presente nas seguintes provas
58292 Ano: 2009
Disciplina: TI - Desenvolvimento de Sistemas
Banca: CESGRANRIO
Orgão: DECEA

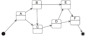
Observe o diagrama de estado UML a seguir.

Enunciado 58292-1

Para chegar ao estado final, deve-se passar necessariamente pelo estado

 

Provas

Questão presente nas seguintes provas
58291 Ano: 2009
Disciplina: TI - Redes de Computadores
Banca: CESGRANRIO
Orgão: DECEA

Dois equipamentos estão conectados entre si e se comunicam utilizando, em nível físico, start e stop bits. Isso significa que o modo de transmissão é

 

Provas

Questão presente nas seguintes provas
58290 Ano: 2009
Disciplina: TI - Redes de Computadores
Banca: CESGRANRIO
Orgão: DECEA

Uma empresa deseja interligar pontos de presença em todo território brasileiro utilizando uma rede de comunicação de dados. Em alguns locais bastante isolados não é possível chegar com cabeamento. Assim, que tecnologia pode ser utilizada para conectar esses locais?

 

Provas

Questão presente nas seguintes provas
58289 Ano: 2009
Disciplina: TI - Redes de Computadores
Banca: CESGRANRIO
Orgão: DECEA

Um servidor X dispara um único pacote ICMP tipo 8 para um servidor Y. Após 5 minutos, nenhum pacote de Y é recebido por X. É correto garantir que

 

Provas

Questão presente nas seguintes provas
58288 Ano: 2009
Disciplina: TI - Redes de Computadores
Banca: CESGRANRIO
Orgão: DECEA

Um fabricante deseja construir uma rede de comunicação de dados segundo o modelo OSI. A delimitação de quadros deve ser implementada em que nível?

 

Provas

Questão presente nas seguintes provas
58287 Ano: 2009
Disciplina: TI - Banco de Dados
Banca: CESGRANRIO
Orgão: DECEA

Sobre o controle de acesso a dados em Sistemas Gerenciadores de Bancos de Dados, assinale a afirmativa INCORRETA.

 

Provas

Questão presente nas seguintes provas
58286 Ano: 2009
Disciplina: TI - Banco de Dados
Banca: CESGRANRIO
Orgão: DECEA

Considere um ambiente cliente servidor com acesso a um sistema gerenciador de bancos de dados relacional onde é utilizado código armazenado tanto no formato de stored procedures (procedimentos armazenados) quanto no de triggers (gatilhos). Baseando-se nessa descrição, é correto afirmar que

 

Provas

Questão presente nas seguintes provas
58285 Ano: 2009
Disciplina: TI - Banco de Dados
Banca: CESGRANRIO
Orgão: DECEA

Considere um ambiente de sistema gerenciador de bancos de dados relacional, onde ocorrem diversos acessos a uma mesma tabela e se utiliza o nível de isolamento de leitura não confirmada (read uncommitted). O usuário A inicia uma transação e realiza a alteração do valor do saldo em estoque de um determinado produto X. Após A realizar tal alteração, mas antes que termine sua transação, o usuário B inicia uma transação e tenta ler o valor do saldo em estoque de X. Nesse contexto, é correto afirmar que o

 

Provas

Questão presente nas seguintes provas
58284 Ano: 2009
Disciplina: TI - Gestão e Governança de TI
Banca: CESGRANRIO
Orgão: DECEA

Três sistemas corporativos de uma empresa possuem as características a seguir.

I - Os módulos passam entre si grupo de dados destinados a controlar a sua lógica interna.

II - A comunicação entre módulos é feita por parâmetros.

III - Os módulos se referem à mesma estrutura de dados (mais dados do que necessário).

Os sistemas I, II e III caracterizam, respectivamente, os tipos de acoplamento:

 

Provas

Questão presente nas seguintes provas