Foram encontradas 189 questões.
Se (\( Z \) + \( Q \) = 132) e\( \left(\dfrac{z}{2}=22\right) \) , assinale a assertiva que apresenta a oitava parte do quociente de \( \left(\dfrac{Q}{Z}\right) \).
Provas
Questão presente nas seguintes provas
A loja Vende Tudo irá sortear uma TV, os números disponíveis para o sorteio são de 1 a 100. Assinale a assertiva que apresenta a probabilidade de ser sorteado um divisor de 98.
Provas
Questão presente nas seguintes provas
Assinale corretamente a quantidade de anagramas que possui a palavra PARALELOGRAMO.
Provas
Questão presente nas seguintes provas
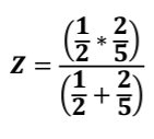
Assinale corretamente o valor de Z na seguinte expressão:


Provas
Questão presente nas seguintes provas
Uma indústria leva cerca de 8 horas ininterruptas para fabricar 160.000 unidades de um determinado produto, caso o horário de fabricação seja estendido para 12 horas ininterruptas, quantas unidades do mesmo produto poderão ser fabricadas?
Provas
Questão presente nas seguintes provas
Um corretor de imóvel recebe comissão por cada imóvel vendido de 1/8 do valor integral do imóvel. Em 2023, esse corretor vendeu 2 imóveis, o primeiro no valor de R$ 180.000,00, o segundo no valor de R$ 220.000,00. Assinale corretamente a comissão recebida por esse corretor na venda do segundo imóvel.
Provas
Questão presente nas seguintes provas
Analisando a frase “Três dias é pouco tempo para explorar a cidade”, podemos dizer que:
Provas
Questão presente nas seguintes provas
Assinale a alternativa que apresenta corretamente a classe de palavra destacada na seguinte frase: "Aquele poema representa um autêntico ENIGMA"?
Provas
Questão presente nas seguintes provas
Na frase "Se eu tivesse estudado mais, teria passado no exame", qual é o tempo e o modo verbal “tivesse estudado"?
Provas
Questão presente nas seguintes provas
Marque a alternativa em que há correspondência correta da palavra com seu significado:
Provas
Questão presente nas seguintes provas
Cadernos
Caderno Container