Foram encontradas 120 questões.
No estudo da matemática e programação, o triângulo de Floyd é um padrão triangular de números naturais. Inicia-se com o número 1 no topo e, em cada linha subsequente, preenche-se com números consecutivos. A primeira linha contém apenas 1 número, a segunda linha tem 2 números, a terceira tem 3 números e assim por diante. Como exemplo, as cinco primeiras linhas do triângulo de Floyd estão dispostas a seguir.

Provas
No estudo da matemática e programação, o triângulo de Floyd é um padrão triangular de números naturais. Inicia-se com o número 1 no topo e, em cada linha subsequente, preenche-se com números consecutivos. A primeira linha contém apenas 1 número, a segunda linha tem 2 números, a terceira tem 3 números e assim por diante. Como exemplo, as cinco primeiras linhas do triângulo de Floyd estão dispostas a seguir.

Com base nessas informações, julgue o item.
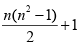
A soma dos números que ocupam a n-ésima linha do triângulo de Floyd é igual a
.
Provas
No estudo da matemática e programação, o triângulo de Floyd é um padrão triangular de números naturais. Inicia-se com o número 1 no topo e, em cada linha subsequente, preenche-se com números consecutivos. A primeira linha contém apenas 1 número, a segunda linha tem 2 números, a terceira tem 3 números e assim por diante. Como exemplo, as cinco primeiras linhas do triângulo de Floyd estão dispostas a seguir.

Com base nessas informações, julgue o item.
O número 42 pode ser encontrado na nona linha do triângulo de Floyd.
Provas
Um grupo de alienígenas está construindo dois tipos de pirâmides (tipo A e tipo B) em um planeta distante. Eles utilizam discos voadores para transportar os blocos de construção. Sabe-se que:
• 10 discos voadores constroem uma pirâmide do tipo A em 30 dias; e
• 8 discos voadores constroem uma pirâmide do tipo B em 24 dias
Com base nessa situação hipotética e considerando que os discos voadores desse grupo de alienígenas são igualmente eficientes, julgue o item.
Um grupo de 10 discos voadores constrói 16 pirâmides do tipo A utilizando o mesmo tempo que leva para construir 25 pirâmides do tipo B.
Provas
Um grupo de alienígenas está construindo dois tipos de pirâmides (tipo A e tipo B) em um planeta distante. Eles utilizam discos voadores para transportar os blocos de construção. Sabe-se que:
• 10 discos voadores constroem uma pirâmide do tipo A em 30 dias; e
• 8 discos voadores constroem uma pirâmide do tipo B em 24 dias
Com base nessa situação hipotética e considerando que os discos voadores desse grupo de alienígenas são igualmente eficientes, julgue o item.
Para construir 4 pirâmides do tipo B em 32 dias, são necessários 25 discos voadores.
Provas
Um grupo de alienígenas está construindo dois tipos de pirâmides (tipo A e tipo B) em um planeta distante. Eles utilizam discos voadores para transportar os blocos de construção. Sabe-se que:
• 10 discos voadores constroem uma pirâmide do tipo A em 30 dias; e
• 8 discos voadores constroem uma pirâmide do tipo B em 24 dias
Com base nessa situação hipotética e considerando que os discos voadores desse grupo de alienígenas são igualmente eficientes, julgue o item.
Para construir 2 pirâmides do tipo A com 20 discos voadores, são necessários 60 dias.
Provas
Texto para o item.

Quanto aos sentidos e aos aspectos linguísticos do texto, julgue o item.
A substituição do termo “condicionadas” (linha 3) por vinculadas não acarretaria prejuízo ao sentido original e à correção gramatical do texto.
Provas
Texto para o item.

Quanto aos sentidos e aos aspectos linguísticos do texto, julgue o item.
O pronome demonstrativo “Isso” (linha 7) retoma o fim da era dos resultados alcançados à base da pressão, pois sua consequência é a promoção de vínculos afetivos.
Provas
Texto para o item.

Quanto aos sentidos e aos aspectos linguísticos do texto, julgue o item.
A partir da leitura do texto, é correto afirmar que a mentalidade nova mencionada tem como uma de suas consequências o aumento da produtividade, mas refere-se não apenas ao campo profissional, como também refere-se às demais áreas da vida humana. A nova era supera as pressões e a busca incessante por recompensas materiais ao promover ambientes seguros, respeito e vínculos afetivos.
Provas
Texto para o item.

Quanto aos sentidos e aos aspectos linguísticos do texto, julgue o item.
A oração “em que as pessoas se sentem seguras” (linha 7) é coordenada à oração imediatamente anterior.
Provas
Caderno Container