Magna Concursos

Foram encontradas 50 questões.

1119280 Ano: 2015
Disciplina: Matemática
Banca: FUNCAB
Orgão: CRF-RO
Provas:

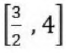
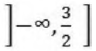
O conjunto solução da inequação enunciado 1119280-1 é:

 

Provas

Questão presente nas seguintes provas
1119278 Ano: 2015
Disciplina: Matemática
Banca: FUNCAB
Orgão: CRF-RO
Provas:
Para produzir 20 lotes de um produto, uma equipe gasta 6 horas. Quanto tempo, essa mesma equipe levará, para produzir 60 lotes do mesmo produto?
 

Provas

Questão presente nas seguintes provas
1119277 Ano: 2015
Disciplina: Matemática
Banca: FUNCAB
Orgão: CRF-RO
Provas:

Dada a função definida porf(x + 2)= 3x + 5.

O valor de f(3).f(-3) é:

 

Provas

Questão presente nas seguintes provas
1119276 Ano: 2015
Disciplina: Matemática
Banca: FUNCAB
Orgão: CRF-RO
Provas:
Considere m e n as raízes da equação x2 -18x + 10 = 0, o valor de m2 + n2 é:
 

Provas

Questão presente nas seguintes provas
1119275 Ano: 2015
Disciplina: Matemática
Banca: FUNCAB
Orgão: CRF-RO
Provas:
Hugo, Vitor e Adriano investiram em uma sociedade R$ 60.000,00, R$ 20.000,00 e R$ 15.000,00, respectivamente. No final do ano, dividiram um lucro de R$ 304.950,00.0 valor recebido por Vitor foi:
 

Provas

Questão presente nas seguintes provas
1119274 Ano: 2015
Disciplina: Matemática
Banca: FUNCAB
Orgão: CRF-RO
Provas:
Para que a parábola de equação y= k.x2+p.x+8 tenha 2 e 4 como raízes, os valores de k e p são, respectivamente:
 

Provas

Questão presente nas seguintes provas
1119273 Ano: 2015
Disciplina: Matemática
Banca: FUNCAB
Orgão: CRF-RO
Provas:
Doze técnicos fazem a manutenção de 6 lotes de computadores em 15 dias, trabalhando 6 horas por dia. Qual o total de lotes que 15 técnicos, trabalhando por 8 horas por dia, em 18 dias, farão a manutenção?
 

Provas

Questão presente nas seguintes provas
1119272 Ano: 2015
Disciplina: Matemática Financeira
Banca: FUNCAB
Orgão: CRF-RO
Provas:
Qual o capital que investido a juros simples de 10% ao mês terá seu valor total acumulado de R$ 11.000,00 depois de 12 meses?
 

Provas

Questão presente nas seguintes provas
1119271 Ano: 2015
Disciplina: Matemática
Banca: FUNCAB
Orgão: CRF-RO
Provas:
Em um triângulo egípcio retângulo em A, tem-se os lados AB = 12 cm e BC = 13 cm. A razão entre as alturas relativas h,, em relação ao lado AC e h2, em relação ao lado BC, é:
 

Provas

Questão presente nas seguintes provas
1119270 Ano: 2015
Disciplina: Matemática
Banca: FUNCAB
Orgão: CRF-RO
Provas:

Um produto foi comprado por R$ 67,20, incluindo as taxas no valor de 6%.

O valor aproximado desse produto, sem as taxas, é:

 

Provas

Questão presente nas seguintes provas