Magna Concursos

Foram encontradas 50 questões.

1119426 Ano: 2015
Disciplina: Informática
Banca: FUNCAB
Orgão: CRF-RO
Provas:
A quantos bytes equivalem 2 megabytes?
 

Provas

Questão presente nas seguintes provas
1119424 Ano: 2015
Disciplina: Informática
Banca: FUNCAB
Orgão: CRF-RO
Provas:

Em relação à memória de computador, marque C (CORRETO) e I (INCORRETO), nas afirmações a seguir.

( ) Memória ROM é a de Acesso aleatório.

( ) Memória RAM é a de Acesso Randômico.

( ) Cache é um bloco de memória para o armazenamento temporário de dados.

( ) Setores são as divisões de trilhas em que os dados são armazenados fisicamente.

A sequência correta é:
 

Provas

Questão presente nas seguintes provas
1119421 Ano: 2015
Disciplina: Informática
Banca: FUNCAB
Orgão: CRF-RO
Para que um computador possa se conectar a uma rede sem fio, é necessário que ele tenha um(a):
 

Provas

Questão presente nas seguintes provas
1119378 Ano: 2015
Disciplina: Farmácia
Banca: FUNCAB
Orgão: CRF-RO
Provas:
Assinale a alternativa que aponta produtos para uso externo, antissépticos ou não, destinados ao asseio ou à desinfecção corporal, compreendendo os sabonetes, xampus, dentifrícios, desodorantes e antiperspirantes.
 

Provas

Questão presente nas seguintes provas
1119368 Ano: 2015
Disciplina: Farmácia
Banca: FUNCAB
Orgão: CRF-RO
Provas:
Sobre a responsabilidade técnica do farmacêutico e suas atribuições, pode-se afirmar, corretamente, que:
 

Provas

Questão presente nas seguintes provas
1119361 Ano: 2015
Disciplina: Farmácia
Banca: FUNCAB
Orgão: CRF-RO
Provas:
O mandato dos membros do Conselho Federal de Farmácia é privativo do farmacêutico de nacionalidade brasileira, será gratuito, meramente honorífico e terá duração de quantos anos?
 

Provas

Questão presente nas seguintes provas
1119360 Ano: 2015
Disciplina: Farmácia
Banca: FUNCAB
Orgão: CRF-RO
Provas:
Marque a opção correta sobre os fiscais do Exercício Profissional nos Conselhos Regionais de Farmácia.
 

Provas

Questão presente nas seguintes provas
1119359 Ano: 2015
Disciplina: Farmácia
Banca: FUNCAB
Orgão: CRF-RO
Provas:
Dentre as afirmativas a seguir, marque a correta a respeito da dispensação de medicamentos.
 

Provas

Questão presente nas seguintes provas
1119286 Ano: 2015
Disciplina: Matemática
Banca: FUNCAB
Orgão: CRF-RO
Provas:
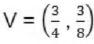
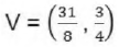
As coordenadas do vértice da parábola y = 2x2 - 3x + 5 são:
 

Provas

Questão presente nas seguintes provas
1119281 Ano: 2015
Disciplina: Matemática
Banca: FUNCAB
Orgão: CRF-RO
Provas:

Sendo enunciado 1119281-1 uma função bijetora, o valor de enunciado 1119281-2 é:

 

Provas

Questão presente nas seguintes provas