Foram encontradas 300 questões.
Em um restaurante, a razão entre latinhas de refrigerante e latinhas de cerveja consumidas em um certo dia foi de 7 para 5. Sabendo-se que nesse dia foram consumidas, ao todo, 204 latinhas, então, o número de latinhas de cerveja consumidas foi
Provas
Questão presente nas seguintes provas
Veja a receita do bolo de chocolate de Helena.
Quinta parte de 1 litro de leite
260 gramas de farinha de trigo
1/4 de 1 quilograma de manteiga
Oitava parte de 1 quilograma de chocolate
1/2 de 1 quilograma de açúcar
Então, a quantidade de leite necessária para fazer 2 1/2 receitas de bolo, iguais a essa, é de
Provas
Questão presente nas seguintes provas
Um pacote de figurinhas foi dividido entre um grupo de 15
garotos, conforme mostra a tabela.
Sabendo-se que, na média, cada garoto recebeu 7 figurinhas, então, o valor de X da tabela é
Provas
Questão presente nas seguintes provas
Um fio foi esticado e preso entre dois postes verticais, distantes um do outro 4m, conforme mostra a figura.

O comprimento total desse fio, em metros, é de aproximadamente
(Adote: √2 = 1,4)
Provas
Questão presente nas seguintes provas
Para uma reunião foram colocadas 252 cadeiras em um au- ditório, de modo que o número de cadeiras por fileira é 75% maior do que o número de fileiras. Nessas condições, pode-se afirmar que o número de cadeiras de uma fileira é
Provas
Questão presente nas seguintes provas
Em uma cidade, a empresa de telefonia está promovendo a
linha econômica. Sua assinatura é de R$ 30,00, incluindo
100 minutos a serem gastos em ligações locais para telefone
fixo. O tempo de ligação excedente é tarifado em R$ 0,10
por minuto. O valor da conta mensal de um cliente que gasta
200 minutos em ligações locais é de
Provas
Questão presente nas seguintes provas
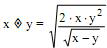
Um aluno criou uma nova operação matemática utilizando o símbolo ◈ do seguinte modo:

o resultado de 18 ◈ 2 será

o resultado de 18 ◈ 2 será
Provas
Questão presente nas seguintes provas
Considere os números reais x e y que satisfazem as seguintes condições:
I. x . y é negativo
II. x > y
Obedecidas essas condições, é possível afirmar que
I. x . y é negativo
II. x > y
Obedecidas essas condições, é possível afirmar que
Provas
Questão presente nas seguintes provas
Lúcia faz uma caminhada diária de segunda à sexta-feira, de
3 800 metros. Ao final da sexta-feita, pode-se afirmar que ela
andou
Provas
Questão presente nas seguintes provas
Em uma pesquisa eleitoral, em que foram entrevistados
2 000 eleitores, o resultado obtido foi o seguinte:

Os indecisos em relação ao total de intrevistados são representados pela fração

Os indecisos em relação ao total de intrevistados são representados pela fração
Provas
Questão presente nas seguintes provas
Cadernos
Caderno Container