Foram encontradas 120 questões.
Toda a historiografia ocidental parte da primeira viagem do navegador Cristóvão Colombo entre o porto de Palos, na região da Andaluzia, na Espanha, e a “Isla de Guanahaní” (atual Bahamas), onde sua frota desembarcou na manhã do dia 12 de outubro de 1492, para contar sobre o primeiro encontro entre aqueles que já habitavam as ilhas do Caribe e exploradores vindos de outras partes do planeta.
Aquele contato inédito marcou o início de toda a história da invasão europeia e da posterior colonização dos territórios e povos existentes deste lado do globo e se tornou também o marco inaugural de uma narrativa hegemônica até hoje em torno de uma “descoberta” da América pela Europa.
Há quase duas décadas, no entanto, uma história alternativa da “descoberta” das Américas se espalhou: a de que frotas encabeçadas por dois almirantes chineses, Zhou Man e Hong Bao, haviam navegado da África até a foz do Rio Orenoco, na atual Venezuela, descendo depois por toda a costa do continente até o Estreito de Magalhães, ao sul da América do Sul, ainda no ano de 1421 — portanto, 71 anos antes da viagem de Cristóvão Colombo. Eles tinham sido treinados e eram liderados pelo grande navegador chinês daquela época Zheng He.
Apesar da tese ser fortemente criticada por alguns historiadores, pelo trato pouco ortodoxo das provas históricas, a discussão permanece em aberto entre especialistas do mundo todo. Alguns deles afirmam hoje que, ainda que os chineses não tenham, de fato, navegado pela costa americana antes de Colombo, é possível dizer que eles reuniam meios para fazê-lo.
Nessas viagens ausentes dos registros oficiais, os navios liderados por Zheng He teriam cruzado o Cabo da Boa Esperança antes de Bartolomeu Dias, passado por Cabo Verde, na África, pelas ilhas dos Açores, hoje território português, pelas Bahamas e pelas Malvinas. Ele teria até mesmo estabelecido algumas colônias onde hoje são a Austrália, a Nova Zelândia, a Califórnia, a ilha de Porto Rico e o México — para onde teria levado os primeiros cavalos. Além disso, supostamente essas colônias foram pioneiras no cultivo de galinhas na América do Sul e na criação de um comércio internacional de diamantes encontrados na Amazônia.
Vinícius Mendes. Descoberta das Américas: como a China poderia ter
chegado ao continente sete décadas antes de Colombo.
Internet: <www.bbc.com> (com adaptações).
Considerando as ideias e os sentidos do texto, julgue o item a seguir.
Depreende-se do primeiro parágrafo do texto que Cristóvão Colombo, ao chegar ao território que atualmente corresponde às Bahamas, encontrou não somente os povos originários, como também “exploradores vindos de outras partes do planeta”.
Provas
Toda a historiografia ocidental parte da primeira viagem do navegador Cristóvão Colombo entre o porto de Palos, na região da Andaluzia, na Espanha, e a “Isla de Guanahaní” (atual Bahamas), onde sua frota desembarcou na manhã do dia 12 de outubro de 1492, para contar sobre o primeiro encontro entre aqueles que já habitavam as ilhas do Caribe e exploradores vindos de outras partes do planeta.
Aquele contato inédito marcou o início de toda a história da invasão europeia e da posterior colonização dos territórios e povos existentes deste lado do globo e se tornou também o marco inaugural de uma narrativa hegemônica até hoje em torno de uma “descoberta” da América pela Europa.
Há quase duas décadas, no entanto, uma história alternativa da “descoberta” das Américas se espalhou: a de que frotas encabeçadas por dois almirantes chineses, Zhou Man e Hong Bao, haviam navegado da África até a foz do Rio Orenoco, na atual Venezuela, descendo depois por toda a costa do continente até o Estreito de Magalhães, ao sul da América do Sul, ainda no ano de 1421 — portanto, 71 anos antes da viagem de Cristóvão Colombo. Eles tinham sido treinados e eram liderados pelo grande navegador chinês daquela época Zheng He.
Apesar da tese ser fortemente criticada por alguns historiadores, pelo trato pouco ortodoxo das provas históricas, a discussão permanece em aberto entre especialistas do mundo todo. Alguns deles afirmam hoje que, ainda que os chineses não tenham, de fato, navegado pela costa americana antes de Colombo, é possível dizer que eles reuniam meios para fazê-lo.
Nessas viagens ausentes dos registros oficiais, os navios liderados por Zheng He teriam cruzado o Cabo da Boa Esperança antes de Bartolomeu Dias, passado por Cabo Verde, na África, pelas ilhas dos Açores, hoje território português, pelas Bahamas e pelas Malvinas. Ele teria até mesmo estabelecido algumas colônias onde hoje são a Austrália, a Nova Zelândia, a Califórnia, a ilha de Porto Rico e o México — para onde teria levado os primeiros cavalos. Além disso, supostamente essas colônias foram pioneiras no cultivo de galinhas na América do Sul e na criação de um comércio internacional de diamantes encontrados na Amazônia.
Vinícius Mendes. Descoberta das Américas: como a China poderia ter
chegado ao continente sete décadas antes de Colombo.
Internet: <www.bbc.com> (com adaptações).
Considerando as ideias e os sentidos do texto, julgue o item a seguir.
O autor do texto emprega a expressão “deste lado do globo” para referir-se ao continente americano.
Provas
Toda a historiografia ocidental parte da primeira viagem do navegador Cristóvão Colombo entre o porto de Palos, na região da Andaluzia, na Espanha, e a “Isla de Guanahaní” (atual Bahamas), onde sua frota desembarcou na manhã do dia 12 de outubro de 1492, para contar sobre o primeiro encontro entre aqueles que já habitavam as ilhas do Caribe e exploradores vindos de outras partes do planeta.
Aquele contato inédito marcou o início de toda a história da invasão europeia e da posterior colonização dos territórios e povos existentes deste lado do globo e se tornou também o marco inaugural de uma narrativa hegemônica até hoje em torno de uma “descoberta” da América pela Europa.
Há quase duas décadas, no entanto, uma história alternativa da “descoberta” das Américas se espalhou: a de que frotas encabeçadas por dois almirantes chineses, Zhou Man e Hong Bao, haviam navegado da África até a foz do Rio Orenoco, na atual Venezuela, descendo depois por toda a costa do continente até o Estreito de Magalhães, ao sul da América do Sul, ainda no ano de 1421 — portanto, 71 anos antes da viagem de Cristóvão Colombo. Eles tinham sido treinados e eram liderados pelo grande navegador chinês daquela época Zheng He.
Apesar da tese ser fortemente criticada por alguns historiadores, pelo trato pouco ortodoxo das provas históricas, a discussão permanece em aberto entre especialistas do mundo todo. Alguns deles afirmam hoje que, ainda que os chineses não tenham, de fato, navegado pela costa americana antes de Colombo, é possível dizer que eles reuniam meios para fazê-lo.
Nessas viagens ausentes dos registros oficiais, os navios liderados por Zheng He teriam cruzado o Cabo da Boa Esperança antes de Bartolomeu Dias, passado por Cabo Verde, na África, pelas ilhas dos Açores, hoje território português, pelas Bahamas e pelas Malvinas. Ele teria até mesmo estabelecido algumas colônias onde hoje são a Austrália, a Nova Zelândia, a Califórnia, a ilha de Porto Rico e o México — para onde teria levado os primeiros cavalos. Além disso, supostamente essas colônias foram pioneiras no cultivo de galinhas na América do Sul e na criação de um comércio internacional de diamantes encontrados na Amazônia.
Vinícius Mendes. Descoberta das Américas: como a China poderia ter
chegado ao continente sete décadas antes de Colombo.
Internet: <www.bbc.com> (com adaptações).
Considerando as ideias e os sentidos do texto, julgue o item a seguir.
De acordo com o texto, é recente a descoberta de que os chineses foram os primeiros estrangeiros a aportarem no continente americano.
Provas
Toda a historiografia ocidental parte da primeira viagem do navegador Cristóvão Colombo entre o porto de Palos, na região da Andaluzia, na Espanha, e a “Isla de Guanahaní” (atual Bahamas), onde sua frota desembarcou na manhã do dia 12 de outubro de 1492, para contar sobre o primeiro encontro entre aqueles que já habitavam as ilhas do Caribe e exploradores vindos de outras partes do planeta.
Aquele contato inédito marcou o início de toda a história da invasão europeia e da posterior colonização dos territórios e povos existentes deste lado do globo e se tornou também o marco inaugural de uma narrativa hegemônica até hoje em torno de uma “descoberta” da América pela Europa.
Há quase duas décadas, no entanto, uma história alternativa da “descoberta” das Américas se espalhou: a de que frotas encabeçadas por dois almirantes chineses, Zhou Man e Hong Bao, haviam navegado da África até a foz do Rio Orenoco, na atual Venezuela, descendo depois por toda a costa do continente até o Estreito de Magalhães, ao sul da América do Sul, ainda no ano de 1421 — portanto, 71 anos antes da viagem de Cristóvão Colombo. Eles tinham sido treinados e eram liderados pelo grande navegador chinês daquela época Zheng He.
Apesar da tese ser fortemente criticada por alguns historiadores, pelo trato pouco ortodoxo das provas históricas, a discussão permanece em aberto entre especialistas do mundo todo. Alguns deles afirmam hoje que, ainda que os chineses não tenham, de fato, navegado pela costa americana antes de Colombo, é possível dizer que eles reuniam meios para fazê-lo.
Nessas viagens ausentes dos registros oficiais, os navios liderados por Zheng He teriam cruzado o Cabo da Boa Esperança antes de Bartolomeu Dias, passado por Cabo Verde, na África, pelas ilhas dos Açores, hoje território português, pelas Bahamas e pelas Malvinas. Ele teria até mesmo estabelecido algumas colônias onde hoje são a Austrália, a Nova Zelândia, a Califórnia, a ilha de Porto Rico e o México — para onde teria levado os primeiros cavalos. Além disso, supostamente essas colônias foram pioneiras no cultivo de galinhas na América do Sul e na criação de um comércio internacional de diamantes encontrados na Amazônia.
Vinícius Mendes. Descoberta das Américas: como a China poderia ter
chegado ao continente sete décadas antes de Colombo.
Internet: <www.bbc.com> (com adaptações).
Considerando as ideias e os sentidos do texto, julgue o item a seguir.
Segundo afirmam especialistas, os chineses dispunham de condições para navegar até a América no século XV.
Provas
Toda a historiografia ocidental parte da primeira viagem do navegador Cristóvão Colombo entre o porto de Palos, na região da Andaluzia, na Espanha, e a “Isla de Guanahaní” (atual Bahamas), onde sua frota desembarcou na manhã do dia 12 de outubro de 1492, para contar sobre o primeiro encontro entre aqueles que já habitavam as ilhas do Caribe e exploradores vindos de outras partes do planeta.
Aquele contato inédito marcou o início de toda a história da invasão europeia e da posterior colonização dos territórios e povos existentes deste lado do globo e se tornou também o marco inaugural de uma narrativa hegemônica até hoje em torno de uma “descoberta” da América pela Europa.
Há quase duas décadas, no entanto, uma história alternativa da “descoberta” das Américas se espalhou: a de que frotas encabeçadas por dois almirantes chineses, Zhou Man e Hong Bao, haviam navegado da África até a foz do Rio Orenoco, na atual Venezuela, descendo depois por toda a costa do continente até o Estreito de Magalhães, ao sul da América do Sul, ainda no ano de 1421 — portanto, 71 anos antes da viagem de Cristóvão Colombo. Eles tinham sido treinados e eram liderados pelo grande navegador chinês daquela época Zheng He.
Apesar da tese ser fortemente criticada por alguns historiadores, pelo trato pouco ortodoxo das provas históricas, a discussão permanece em aberto entre especialistas do mundo todo. Alguns deles afirmam hoje que, ainda que os chineses não tenham, de fato, navegado pela costa americana antes de Colombo, é possível dizer que eles reuniam meios para fazê-lo.
Nessas viagens ausentes dos registros oficiais, os navios liderados por Zheng He teriam cruzado o Cabo da Boa Esperança antes de Bartolomeu Dias, passado por Cabo Verde, na África, pelas ilhas dos Açores, hoje território português, pelas Bahamas e pelas Malvinas. Ele teria até mesmo estabelecido algumas colônias onde hoje são a Austrália, a Nova Zelândia, a Califórnia, a ilha de Porto Rico e o México — para onde teria levado os primeiros cavalos. Além disso, supostamente essas colônias foram pioneiras no cultivo de galinhas na América do Sul e na criação de um comércio internacional de diamantes encontrados na Amazônia.
Vinícius Mendes. Descoberta das Américas: como a China poderia ter
chegado ao continente sete décadas antes de Colombo.
Internet: <www.bbc.com> (com adaptações).
Considerando as ideias e os sentidos do texto, julgue o item a seguir.
O último parágrafo do texto tem o objetivo de comprovar como os chineses efetivamente chegaram ao continente americano antes dos europeus, ao contrário do que afirma a historiografia ocidental.
Provas
Toda a historiografia ocidental parte da primeira viagem do navegador Cristóvão Colombo entre o porto de Palos, na região da Andaluzia, na Espanha, e a “Isla de Guanahaní” (atual Bahamas), onde sua frota desembarcou na manhã do dia 12 de outubro de 1492, para contar sobre o primeiro encontro entre aqueles que já habitavam as ilhas do Caribe e exploradores vindos de outras partes do planeta.
Aquele contato inédito marcou o início de toda a história da invasão europeia e da posterior colonização dos territórios e povos existentes deste lado do globo e se tornou também o marco inaugural de uma narrativa hegemônica até hoje em torno de uma “descoberta” da América pela Europa.
Há quase duas décadas, no entanto, uma história alternativa da “descoberta” das Américas se espalhou: a de que frotas encabeçadas por dois almirantes chineses, Zhou Man e Hong Bao, haviam navegado da África até a foz do Rio Orenoco, na atual Venezuela, descendo depois por toda a costa do continente até o Estreito de Magalhães, ao sul da América do Sul, ainda no ano de 1421 — portanto, 71 anos antes da viagem de Cristóvão Colombo. Eles tinham sido treinados e eram liderados pelo grande navegador chinês daquela época Zheng He.
Apesar da tese ser fortemente criticada por alguns historiadores, pelo trato pouco ortodoxo das provas históricas, a discussão permanece em aberto entre especialistas do mundo todo. Alguns deles afirmam hoje que, ainda que os chineses não tenham, de fato, navegado pela costa americana antes de Colombo, é possível dizer que eles reuniam meios para fazê-lo.
Nessas viagens ausentes dos registros oficiais, os navios liderados por Zheng He teriam cruzado o Cabo da Boa Esperança antes de Bartolomeu Dias, passado por Cabo Verde, na África, pelas ilhas dos Açores, hoje território português, pelas Bahamas e pelas Malvinas. Ele teria até mesmo estabelecido algumas colônias onde hoje são a Austrália, a Nova Zelândia, a Califórnia, a ilha de Porto Rico e o México — para onde teria levado os primeiros cavalos. Além disso, supostamente essas colônias foram pioneiras no cultivo de galinhas na América do Sul e na criação de um comércio internacional de diamantes encontrados na Amazônia.
Vinícius Mendes. Descoberta das Américas: como a China poderia ter
chegado ao continente sete décadas antes de Colombo.
Internet: <www.bbc.com> (com adaptações).
Considerando as ideias e os sentidos do texto, julgue o item a seguir.
O texto deslegitima a tese de que a América foi descoberta por europeus e atribui esse feito aos chineses.
Provas

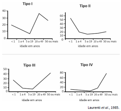
As curvas de mortalidade proporcional receberam o nome de curvas de Nelson Moraes em 1959, em homenagem ao sanitarista brasileiro que as idealizou. São indicativos do nível de saúde de uma determinada população. No que se refere a esse assunto, julgue o item a seguir.
A mortalidade geral no Brasil tem como principais causas as doenças do aparelho circulatório, seguidas por causas externas e neoplasias.
Provas

As curvas de mortalidade proporcional receberam o nome de curvas de Nelson Moraes em 1959, em homenagem ao sanitarista brasileiro que as idealizou. São indicativos do nível de saúde de uma determinada população. No que se refere a esse assunto, julgue o item a seguir.
As curvas de Nelson Moraes são geradas calculando-se o número de óbitos por faixas etárias (< 1 ano / 1-4 anos / 5-19 anos / 20-49 anos / maiores ou iguais a 50 anos de idade), dividido pelo número total de óbitos.
Provas

As curvas de mortalidade proporcional receberam o nome de curvas de Nelson Moraes em 1959, em homenagem ao sanitarista brasileiro que as idealizou. São indicativos do nível de saúde de uma determinada população. No que se refere a esse assunto, julgue o item a seguir.
A curva do tipo 1 mostra nível muito elevado de uma população.
Provas
A pandemia gerada pelo SARS-CoV-2 completou um ano. Em março de 2020, a Organização Mundial da Saúde fez a declaração, após a doença se espalhar por todo o planeta. Um dia depois, o Brasil registrou a primeira morte e, após um ano, o País superou a triste marca de duas mil mortes diárias.
Internet: <https://g1.globo.com> (com adaptações).
Tendo o texto acima como referência inicial, julgue o item a seguir.
É justificado o uso de máscara N95 – PFF2 para a prevenção da contaminação por SARS-CoV-2 porque o vírus pode ser transmitido por aerossóis.
Provas
Caderno Container