Foram encontradas 50 questões.
A Lei n⁰ 10.520/02, nos termos do art. 37, inciso XXI, da Constituição Federal, institui a modalidade de licitação denominada pregão para aquisição de:
Provas
Questão presente nas seguintes provas
- Gestão Estratégica
- PODC: Processo OrganizacionalProcesso Administrativo: PlanejamentoPlanejamento Estratégico, Tático e Operacional
Considere as seguintes afirmações relacionadas ao planejamento estratégico:
I. Eficiência é a medida da realização de objetivos.
II. Eficácia é a medida da utilização adequada de recursos.
III. Indicadores medem eficiência, mas não eficácia.
Está correto o que se afirma em:
Provas
Questão presente nas seguintes provas
As ferramentas básicas da qualidade podem ser aplicadas
em muitas situações de mercado com objetivos específicos.
Uma dessas ferramentas, quando usada adequadamente,
permite identificar e visualizar as causas (ou problemas)
mais importantes, possibilitando a concentração de esforços
sobre elas. Tal ferramenta é denominada:
Provas
Questão presente nas seguintes provas
Um número natural foi dividido por dois múltiplos de três, não necessariamente consecutivos, e o resto obtido foi o mesmo. Se a razão entre os quocientes é igual a cinco, qual a razão entre os dois divisores?
Provas
Questão presente nas seguintes provas
Qual é o valor de X na seqüência dada a seguir?
1 8 27 64 X
1 8 27 64 X
Provas
Questão presente nas seguintes provas
Dividir o número X por 0,0125 é o mesmo que multiplicá-lo por:
Provas
Questão presente nas seguintes provas
Dois jogadores A e B vão lançar um par de dados. Eles combinam que, se a soma dos números dos dados for cinco, A ganha e, se essa soma for oito, B é quem ganha. Os dados são lançados. Sabe-se que A não ganhou. Qual a probabilidade de B ter ganhado?
Provas
Questão presente nas seguintes provas
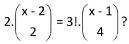
Qual(is) o(s) valor(es) de x que resolve(m) a equação:


Provas
Questão presente nas seguintes provas
Se Paulo vai à festa, então Ana não vai ao parque. Se Ana não vai ao parque, então os passarinhos cantam. Se os passarinhos cantam, então os gatos não miam. Se os gatos miam, é verdade que:
Provas
Questão presente nas seguintes provas
Sobre uma circunferência, são escolhidos 100 pontos de tal forma que eles formem um polígono regular. Se forem escolhidos, ao acaso, 50 pontos, qual a probabilidade de que três deles estejam alinhados?
Provas
Questão presente nas seguintes provas
Cadernos
Caderno Container