Foram encontradas 40 questões.
Considere as seguintes afirmações abaixo:
I. Na Progressão Aritmética, em que o primeiro termo é a1 e a razão é r, o n-ésimo termo é an = a1 + (n − 1)r.
II. Se (a, b, c) é uma Progressão Aritmética, então (a2bc, ab2c, abc2 ) também é uma Progressão Aritmética.
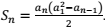
III. A soma dos n primeiros termos de uma Progressão
Aritmética é dada por ![]()
Assinale o item correto:
Provas
Seja A ,B e C ângulos externos ao triângulo, como dado na imagem. Determine o valor de E = A + B + C.

Provas

Analise o seguinte trecho:
Digamos: feliz porque maio recém começou e temos longos oito meses para fazer de 2010 um ano memorável. (linha 5)
Os conectivos sublinhados indicam um valor textual, respectivamente, de
Provas

Provas

A respeito do TEXTO I e das possíveis inferências com base em sua leitura, analise as afirmativas a seguir:
I. O texto afirma que devemos ficar felizes por coisas que são realmente relevantes, isso descarta toda e qualquer felicidade gerada pelas coisas simples da vida.
II. No texto, há uma reflexão realizada pela autora, pela qual incide sobre os leitores a ideia de que a felicidade pode e deve ser vivenciada através de simples experiências.
III. Do texto conclui-se que estar bem consigo mesmo e evitando cobranças é uma das formas de ser feliz por nada.
É correto o que se afirma
Provas

Analise o seguinte trecho:
Eu costumo torcer para que essa felicidade dure um bom tempo, mas sei que as novidades envelhecem e que não é seguro se sentir feliz apenas por atingimento de metas. (linhas 2 a 4)
O pronome sublinhado indica um valor textual de sentido
Provas
- SintaxeFrase, Oração e PeríodoOração CoordenadaOrações Coordenadas Sindéticas
- SintaxeFrase, Oração e PeríodoOração SubordinadaSubordinadas Adverbial

Analise o seguinte trecho:
Mesmo sendo motivos prosaicos, isso ainda é ser feliz por muito. (linha 9)
O segmento sublinhado no período acima, em relação ao trecho anterior, apresenta uma
Provas
Provas
Sobre as Unidades de Estado Sólido (em inglês SSD), analise os itens a seguir.
I. Em comparação com as unidades eletromecânicas, os SSDs geralmente são menos resistentes a choques físicos.
II. Funcionam silenciosamente e têm IOPS mais alta e latência mais baixa.
III. SSDs baseados em NAND Flash mantêm a sua carga ao longo do tempo se forem mesmo se deixados por longos períodos sem energia.
Assinale
Provas

Analise o seguinte trecho:
Particularmente, gosto de quem tem compromisso com a alegria, que procura relativizar as chatices diárias e se concentrar no que importa para valer, e assim alivia o seu cotidiano e não atormenta o dos outros. (linhas 13 e 14)
Assinale a alternativa em que alterações no período acima tenham-no mantido de acordo com as regras de pontuação e boa discursividade.
Provas
Caderno Container