Foram encontradas 430 questões.
O gráfico a seguir apresenta o impacto de variáveis ao longo do tempo no ciclo de vida de um projeto.

PMI. Um Guia do Conhecimento em Gerenciamento de Projetos. Guia PMBOKR. 6ª ed. EUA: Project Management Institute, 2017.
Com relação à estrutura genérica apresentada, constata-se que
Provas
De acordo com Mintzberg e Quinn,
[...] Estratégia é o padrão ou plano que integra as principais metas, políticas e sequência de ações de uma organização em um todo coerente. Uma estratégia bem formulada ajuda a ordenar e alocar os recursos de uma organização para uma postura singular e viável, com base em suas competências internas e relativas, mudanças no ambiente antecipadas e providências contingentes realizadas por oponentes inteligentes.
MINTZBERG, H.; QUINN, J. B. O processo da estratégia. 3. ed. Porto Alegre: Bookman, 2001. p. 20. Adaptado.
Tendo como pano de fundo a questão da efetividade da estratégia no contexto da gestão estratégica, considere um cenário em que
• somente 25% dos gerentes têm iniciativas alinhadas às estratégias;
• somente 5% da força de trabalho entende as estratégias;
• 85% de executivos gastam menos de 1 h por mês discutindo estratégias;
• 60% da organização não alinha o orçamento às estratégias.
Nesse contexto, tendo-se identificado no cenário descrito algumas falhas na execução das estratégias, entendendo-se estratégia como definiram Mintzberg e Quinn, a razão principal que provoca tais falhas é a(o)
Provas
A cultura organizacional se constitui como fator decisivo para os processos de gestão de pessoas. De acordo com o que considera Chiavenato,
A cultura está no DNA das organizações. [...] Representa o universo simbólico da organização e proporciona um referencial de desempenho entre os funcionários [...], influenciando seus comportamentos e práticas cotidianas.
CHIAVENATO, I. Gestão de Pessoas: o novo papel dos recursos humanos nas organizações. Rio de janeiro: Elsevier, 2004. p. 154. Adaptado.
Nessa perspectiva, se a “cultura está no DNA das organizações” e impacta o desempenho destas, é fundamental que a liderança leve em consideração a diversidade organizacional, em termos dos contextos e das singularidades das circunstâncias internas e externas.
Para isso, a partir das contribuições de Chiavenato apresentadas acima, dadas as características, o tipo de liderança que melhor se alinha à ideia indicada é a liderança
Provas
- PODC: Processo OrganizacionalProcesso Administrativo: OrganizaçãoEstrutura OrganizacionalDesenho Estrutural das Organizações
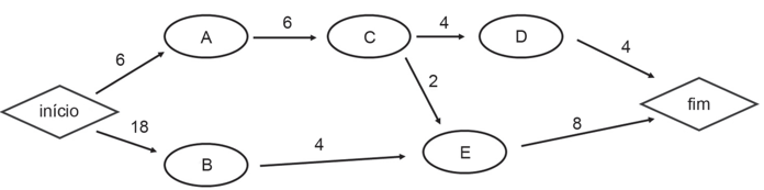
Considere o diagrama de rede do cronograma de um projeto, apresentado a seguir, que contém cinco atividades (A, B, C, D e E). O tempo indicado nas setas está especificado em semanas.

Caso uma revisão do projeto atualize a duração do caminho C-E de 2 para 6 semanas, a consequência dessa revisão será que a duração do caminho crítico do projeto
Provas
A Tabela a seguir apresenta uma matriz de probabilidade e impacto gerada como resultado do processo de gestão de riscos de um projeto.
Evento | Tipo do Risco | Probabilidade | Impacto |
I | Ameaça | 0,7 (alta) | 0,05 (muito baixo) |
II | Ameaça | 0,1 (muito baixa) | 0,8 (muito alto) |
III | Ameaça | 0,7 (alta) | 0,2 (moderado) |
IV | Oportunidade | 0,9 (muito alta) | 0,1 (baixo) |
V | Oportunidade | 0,1 (muito baixa) | 0,1 (baixo) |
Considerando-se as informações da Tabela, o evento de maior prioridade relativa de riscos individuais é o
Provas
Um trabalhador rural foi prestar serviços em determinada localidade, sendo fornecidas moradia e alimentação por parte do empregador, além de estabelecida jornada de trabalho.
Nos termos da Lei nº 5.889/1973, só poderão ser descontadas do empregado rural, pela ocupação da moradia, parcelas, calculadas sobre o salário mínimo, até o limite de
Provas
Após ser contratada para emprego em prestigiada companhia multinacional, H contrai casamento e fica grávida, passando a cuidar do seu filho, recém-nascido. Depois do período de licença legal, ela requer o seu retorno ao trabalho, onde exerce funções relevantes. Como forma de conciliar a condução da vida em família com o emprego, ela postula a concessão dos benefícios previstos em lei. De acordo com a Lei nº 14.457/2022, o incentivo à inserção e à manutenção das mulheres no mercado de trabalho pode ser realizado, quando a atividade permitir, para apoio à parentalidade, por meio da flexibilização do regime de trabalho.
Nos termos dessa lei, uma das formas de flexibilização do regime de trabalho é implementar jornada de
Provas
Nos termos da Lei nº 7.783/1989, Lei de Greve, é(são) considerado(s) serviço(s) ou atividade(s) essencial(is)
Provas
As políticas afirmativas têm como marco no Brasil a Lei de Cotas, que são reservas de vagas para determinados segmentos da população, como pessoas negras (pretas ou pardas), indígenas e pessoas com necessidades especiais.
A respeito da legislação para questões étnico-raciais, é assegurada
Provas
O servidor público F, após aprovação em processo seletivo interno, foi designado para integrar grupo de trabalho para estabelecer modificações nos vários órgãos estatais para melhorar a eficiência na prestação dos serviços, já que havia várias queixas de demora, causando prejuízos aos administrados.
À luz dos termos do Decreto nº 10.332/2020, um dos itens para organizar o serviço público consiste na instituição de
Provas
Caderno Container