Foram encontradas 244 questões.
A figura abaixo apresenta o circuito de um inversor de frequência utilizado para controle de motores elétricos.

A partir da análise da figura, assinale a afirmativa INCORRETA.
Provas
Sobre manutenção de máquinas e equipamentos, leia o texto.
Segundo a Norma NBR 5462 (1994), manutenção corretiva é “a manutenção efetuada após a ocorrência de uma pane, destinada a recolocar um item em condições de executar uma função requerida”. Enquanto a manutenção preventiva é “manutenção efetuada em intervalos predeterminados, ou de acordo com critérios prescritivos, destinada a reduzir a probabilidade de falha ou a degradação do funcionamento de um item”.
Considera-se ainda que a manutenção preditiva é uma evolução da manutenção preventiva, pois com a informatização é possível prever, através de diagnósticos e análise de certos parâmetros dos sistemas produtivos, as falhas possíveis, privilegiando a disponibilidade do equipamento.
A partir do texto, assinale a afirmativa INCORRETA.
Provas
Um mancal de ferro fundido, suportando munhão de aço, tem se mostrado uma excelente combinação no ponto de vista de desgaste e atrito no caso do atrito combinado. Entretanto, o ferro fundido
Provas
Sobre ferramentas Microsoft Office 2010 para Windows, idioma Português, assinale a afirmativa INCORRETA.
Provas
O coeficiente de perda de carga localizada de uma válvula é igual a 4,8. Sabendo que o coeficiente de atrito ou coeficiente de Darcy é de 0,012 e o diâmetro da tubulação é de 100 mm, qual o comprimento equivalente dessa válvula para um cálculo de perda de carga?
Provas
Analise o circuito elétrico de corrente alternada da figura abaixo em regime permanente.

A partir das informações do circuito, assinale a afirmativa INCORRETA.
Provas
A legislação brasileira para efeito de composição dos Serviços Especializados em Engenharia de Segurança e em Medicina do Trabalho (SESMT) prevê os seguintes profissionais: Engenheiro de Segurança do Trabalho, Médico do Trabalho, Enfermeiro do Trabalho, Auxiliar de Enfermagem do Trabalho e Técnico de Segurança do Trabalho. Conforme a NR–04, o dimensionamento mínimo possível para um SESMT de acordo com o número de empregados e o grau de risco é:
Provas
A velocidade de rotação específica, nq, é um dos parâmetros utilizados para a seleção de bombas hidráulicas e ventiladores. Sobre o assunto, marque V para as afirmativas verdadeiras e F para as falsas.
( ) Caso o valor de nq exigido na instalação seja menor que o recomendado para bombas radiais simples, pode-se utilizar uma bomba radial com um maior número de estágios.
( ) As bombas axiais possuem valores de nq maiores que aqueles obtidos pelas bombas radiais.
( ) Os ventiladores centrífugos possuem valores de nq menores que os dos ventiladores axiais.
Assinale a sequência correta.
Provas
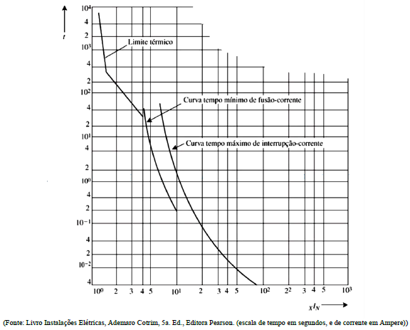
Fusíveis são elementos de proteção para as instalações elétricas. O gráfico abaixo mostra a zona de tempo-corrente de um fusível.

A partir da análise do gráfico apresentado, assinale a afirmativa correta.
Provas
Um viveiro apresenta perdas médias de 20% durante o processo de produção de mudas por miniestacas de um clone de Eucalyptus sp. Após o plantio, há necessidade de replantar, em média, 5% das mudas. Se a empresa vai plantar 200,0 hectares no espaçamento 4,0 m × 2,5 m, assinale a alternativa que apresenta o número mínimo de miniestacas que deverá ser colocado para enraizar e o número mínimo de mudas a ser reservado para o replantio.
Provas
Caderno Container