Foram encontradas 897 questões.
Disciplina: TI - Desenvolvimento de Sistemas
Banca: DIRENS Aeronáutica
Orgão: CIAAR
- Paradigmas de ProgramaçãoOrientação a ObjetosAnálise e Projeto Orientado a Objetos
- Paradigmas de ProgramaçãoOrientação a ObjetosOrientação a Objetos: Herança
Provas
Disciplina: TI - Desenvolvimento de Sistemas
Banca: DIRENS Aeronáutica
Orgão: CIAAR
- Paradigmas de ProgramaçãoOrientação a ObjetosOrientação a Objetos: Classes e Objetos
- Paradigmas de ProgramaçãoOrientação a ObjetosOrientação a Objetos: Herança
- Paradigmas de ProgramaçãoOrientação a ObjetosOrientação a Objetos: Polimorfismo
O código abaixo expõe conceitos da Programação Orientada a Objeto (POO).
class Passaro{
public void voar() {
System.out.println( “Passaro voando...” );
}
}
class Aguia extends Passaro{
public void voar() {
System.out.println( “Aguia voando...” );
}
}
class Tucano extends Passaro{
public void voar() {
System.out.println( “Tucano voando...” );
}
}
public class Teste {
public static void main(String[] args) {
Passaro
p = new Tucano();
p.voar();
p = new Aguia(); p.voar();
}
}
Quais conceitos estão presentes nesse código?
Provas
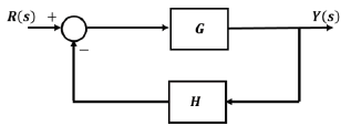
Um sistema de controle retroalimentado básico está representado na figura abaixo. A razão entre o sinal de saída e o sinal de entrada é chamada de função de transferência do sistema.

Fonte: Arquivo da Banca Elaboradora.
Calcule:
1. A razão entre o sinal de saída/sinal de entrada do sistema para uma situação genérica.
2. A razão entre o sinal de saída/sinal de entrada do sistema para a situação particular onde o ganho direto é bastante elevado.
Apresenta corretamente essas duas funções de transferência a opção:
Provas
Provas
A principal causa d o insucesso na endodontia, que culmina em retratamento endodôntico e/ou cirurgia perirradicular, é a persistência de infecção intrarradicular, independentemente de a imagem radiográfica sugerir que o SCR está satisfatoriamente obturado ou não. O retratamento convencional estará indicado em detrimento à opção cirúrgica, em todas as afirmativas abaixo, exceto quando
Provas
Considere as coordenadas geodésicas de um ponto A iguais a φ = 28º 30’ 20” S e λ = 37º 30’ 20” W. O fuso UTM (Universal Transverso de Mercator) e o meridiano central correspondente a este ponto é
Provas
O amálgama dental tem sido cada vez menos utilizado na clínica privada devido ao aumento da demanda por restaurações estéticas. Entretanto, seu uso ainda é preconizado, principalmente em populações com alto risco e alta atividade de cárie. Dentre as opções abaixo, o que é correto afirmar sobre o uso do amálgama dental atualmente?
Provas
A exposição da coroa dos incisivos centrais superiores em repouso é o principal parâmetro estético vertical na avaliação e planejamento de uma cirurgia ortognática que envolva maxila. Quanto à relação da exposição do Incisivo Central Superior (ICS) com a cirurgia ortognática de maxila, é correto afirmar que
Provas
Disciplina: Engenharia Cartográfica
Banca: DIRENS Aeronáutica
Orgão: CIAAR
Para a locação de um novo loteamento será utilizada uma poligonal principal aberta com controle. As coordenadas dos quatro vértices foram obtidas por posicionamento por satélite (GNSS) de precisão e as coordenadas no Sistema de Projeção Universal Transverso de Mercator são dadas na planilha a seguir.
| Vértice | E | N | Altitude Geométrica |
| M-0952 | 616.767,165 | 7.824.835,883 | 820,13m |
| M-0953 | 616.671,990 | 7.824.531,781 | 815,73m |
| M-0954 | 617.257,225 | 7.824.136,441 | 812,78m |
| M-0955 | 617.518,620 | 7.824.161,810 | 777,53m |
Fonte: Arquivo da Banca Elaboradora.
A poligonal principal será iniciada nos vértices M-0953/M-0952 e finalizada nos vértices M-0954/M-0955. Com ponto de estação no vértice M-0953 e ré em M-0952, a partir das coordenadas apresentadas na planilha, foi calculado o azimute inicial de 17° 22’43”. Em relação ao azimute calculado é correto afirmar que está
Provas
Provas
Caderno Container