Foram encontradas 50 questões.
Um veículo automotor desloca-se num aclive cuja inclinação vale !$ \alpha !$ sen(!$ \alpha !$) = 0,1. Da potência de 50 kW despendida para mover o veículo a uma velocidade de 20 m/s, 60% são consumidos para vencer a resistência do ar, 10%, a resistência ao rolamento e o restante, a resistência devida ao aclive. Qual é o peso deste veículo?
Provas
Observe, na figura, a viga utilizada numa ponte rolante. Considere somente a carga estática e a situação mais crítica em termos de momento fletor. Adote para a seção transversal da viga: I = 2 . 107 mm4 e altura máxima da seção da viga = 100 mm

Qual é o máximo valor da carga levantada, P, sabendo-se que a tensão normal admissível para o material desta viga é igual a 250MPa?
Considere a viga como sendo simplesmente apoiada.
Provas
Observe a instalação de bombeamento de água, conforme a figura.

É correto afirmar que
Provas
Num sistema de refrigeração industrial cujo ciclo está indicado no diagrama temperatura x entropia (Txs), conforme figura, ocorrem alguns processos termodinâmicos.

Sobre esses processos é correto afirmar que
Provas
O vapor numa caldeira está a 200 oC (473 K) e é usado num pistão para produzir trabalho mecânico, escapando em seguida para a atmosfera a temperatura igual a 100oC (373 K). Qual é o máximo rendimento teórico dessa máquina a vapor?
Provas
Para o pórtico da figura, qual é o valor do momento fletor na seção M?

Provas
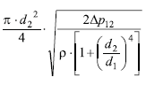
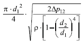
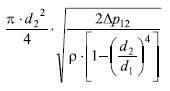
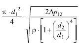
Um medidor de vazão do tipo Venturi é usado numa tubulação horizontal de onde escoa um líquido de densidade , tal como mostrado na figura. O manômetro M indica a diferença de pressão, !$ \Delta !$p12, entre as seções 1 e 2, de diâmetros d1 e d2, respectivamente. Com estes dados, qual é a expressão para determinação da vazão volumétrica usando este instrumento?

Provas
O valor da relação estequiométrica ar-combustível, em relação à massa, na combustão do octano (C8H18) é:
Dados: Composição do ar em volume 21% O2 e 79%N2 Massas moleculares H = 1, N = 14, O = 16, C = 12
Provas
Assinale a alternativa que apresenta a área da figura hachurada, sabendo-se que a curva do gráfico é uma senoide dada pela seguinte expressão: !$ sen(\dfrac{\pi}{2}\cdot x) !$

Provas
Para o movimento em linha reta de um automóvel de passeio, numa estrada sem aclives e declives, em velocidade constante, quais são as forças de resistência ao movimento?
Provas
Caderno Container