Foram encontradas 50 questões.
Sobre o PROCONVE – Programa de Controle de Poluição do ar por veículos automotores –, pode-se afirmar que estabelece
Provas
Quanto ao processo de floculação usado em tratamento de esgotos domésticos, pode-se afirmar que
Provas
Observe a figura com medidas em milímetros.

Qual é a variação do comprimento do tirante AB, sabendo-se que ele é feito de aço (E = 200GPa) e tem área igual a 2,5 mm2?
Provas
A velocidade de corte para uma determinada operação de torneamento de desbaste é igual a 180 m/min. O diâmetro da peça é igual a 40mm. Qual deverá ser a rotação da placa do torno que mais aproxima da rotação ideal para o corte, sabendo-se que se trata de um torno convencional com rotações escalonadas? Adote !$ \pi !$ = 3
Provas
No circuito apresentado na figura, a fonte fornece uma tensão alternada segundo a seguinte expressão: V(t) = 30 ⋅ sen(20 !$ \pi !$⋅ t).

Caso se coloque um osciloscópio em paralelo ao resistor, qual será a forma de onda observada ao se medir a tensão?
Provas
Numa instalação industrial, a rede elétrica é trifásica com a tensão de cada fase igual a 440 V. Nesta rede, foi instalado um motor elétrico de indução com 4 pares de polos. Qual é a máxima rotação do eixo deste motor, sendo que a frequência da rede é igual a 60 Hz?
Provas
Um eixo feito em aço ABNT 4340 deverá ser temperado e revenido. O eixo tem 25 mm de diâmetro e comprimento igual a 250 mm. Sobre os tratamentos térmicos mencionados para esse eixo, é correto afirmar que
Provas
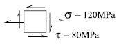
Analise o estado de tensão apresentado na figura. Os valores da maior e da menor tensão principal são, respectivamente,

Provas
Um recipiente com 3 m3 de capacidade contém 0,05 m3 de água na fase líquida e o volume restante contém vapor d’água saturado a 105 N/m2 ABS (0,1 MPa ABS).

Usando os dados da tabela, indique a alternativa para a quantidade aproximada de calor que deve ser fornecida à fase líquida até se obter somente vapor saturado seco.
Provas
O movimento de um pistão em motor automotivo pode ser modelado pela expressão: !$ A\cdot sen(\dfrac{\pi}{30}\cdot n \cdot t) !$, onde A é o curso do pistão (m), n a rotação do virabrequim (rpm) e t o tempo (s). Para uma rotação igual a 3 000 rpm e curso do pistão igual a 0,12 m, qual é o máximo valor de aceleração a que o pistão seria submetido no seu movimento?
Provas
Caderno Container