Foram encontradas 97 questões.
Dada a Planilha do Excel 97:


Está(ão) correta (s) apenas a(s) alternativa(s):
Provas
Questão presente nas seguintes provas


Provas
Questão presente nas seguintes provas
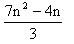
Qual das alternativas abaixo representa um número negativo?
Provas
Questão presente nas seguintes provas
Qual a área do triângulo abaixo, sendo 

Provas
Questão presente nas seguintes provas
Qual é a soma dos n termos de uma progressão aritmética cujo termo geral é 

Provas
Questão presente nas seguintes provas
Se f(x) é uma função afim, qual é o valor de f(2), sendo f(-3) = 0 e f(0) = 3 ?
Provas
Questão presente nas seguintes provas
Flávio distribuiu 91 talheres entre 3 gavetas de um armário. A segunda gaveta recebeu 4 talheres a mais que a primeira e a terceira o que a segunda recebeu mais 8. Qual das opções abaixo é verdadeira?
Provas
Questão presente nas seguintes provas
Dois conjuntos M e N apresentam as seguintes características:

Provas
Questão presente nas seguintes provas

Provas
Questão presente nas seguintes provas

Provas
Questão presente nas seguintes provas
Cadernos
Caderno Container