Foram encontradas 1.972 questões.
Provas
Provas
Provas
Disciplina: Engenharia Ambiental e Sanitária
Banca: CESPE / CEBRASPE
Orgão: CESAN
Provas
Disciplina: Engenharia Ambiental e Sanitária
Banca: CESPE / CEBRASPE
Orgão: CESAN
Provas
Disciplina: Engenharia Ambiental e Sanitária
Banca: CESPE / CEBRASPE
Orgão: CESAN

A figura acima ilustra uma tubulação horizontal de diâmetro constante por onde escoa água em regime permanente. Nessa tubulação, há instalado um piezômetro e um tubo Pitot. As dimensões mostradas são: D = 1,50 m, H = 1,25 m e h = 0,20 m. Com base nessas informações e admitindo que a aceleração da gravidade é igual a 10 m/s2, julgue os próximos itens.
Provas
Disciplina: Engenharia Ambiental e Sanitária
Banca: CESPE / CEBRASPE
Orgão: CESAN

A figura acima ilustra uma tubulação horizontal de diâmetro constante por onde escoa água em regime permanente. Nessa tubulação, há instalado um piezômetro e um tubo Pitot. As dimensões mostradas são: D = 1,50 m, H = 1,25 m e h = 0,20 m. Com base nessas informações e admitindo que a aceleração da gravidade é igual a 10 m/s2, julgue os próximos itens.
Provas
Disciplina: Engenharia Ambiental e Sanitária
Banca: CESPE / CEBRASPE
Orgão: CESAN

A figura acima ilustra uma tubulação horizontal de diâmetro constante por onde escoa água em regime permanente. Nessa tubulação, há instalado um piezômetro e um tubo Pitot. As dimensões mostradas são: D = 1,50 m, H = 1,25 m e h = 0,20 m. Com base nessas informações e admitindo que a aceleração da gravidade é igual a 10 m/s2, julgue os próximos itens.
Provas
Disciplina: Engenharia Ambiental e Sanitária
Banca: CESPE / CEBRASPE
Orgão: CESAN

A expressão a seguir pode representar corretamente a equação de Bernoulli entre os pontos 2 e 3 da tubulação.

Provas
Disciplina: Engenharia Ambiental e Sanitária
Banca: CESPE / CEBRASPE
Orgão: CESAN

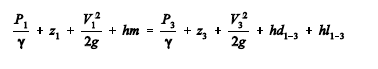
A expressão a seguir pode representar corretamente a equação de Bernoulli entre os pontos 1 e 3 da tubulação.

Provas
Caderno Container