Foram encontradas 100 questões.
Sob o ponto de vista político, o feudalismo europeu medieval caracterizou-se pela existência de um poder
Provas
O material genético em humanos está distribuído em 46 cromossomos. Suas células dividem-se por dois mecanismos distintos, a mitose e a meiose. Uma célula humana que sofreu meiose dará origem a uma célula com
Provas
Segundo levantamento da Coordenadoria de Vigilância em Saúde do Amapá, desde 1974 a doença de Chagas tem sido detectada com frequência no estado, e, desde 2007, o número de casos da doença aumentou. Somente em 2011 foram 14 casos confirmados. O açaí é apontado como o principal meio de contaminação.
Internet: <www.portalamazonia.com.br> (com adaptações).
Assinale a alternativa que apresenta a forma de contágio por meio do açaí.
Provas
O objetivo da taxonomia é o de classificar os organismos em grupos para que seja possível se referir a eles e à relação entre eles. O método mais difundido de classificação dos seres vivos os divide em Reino – Filo – Classe – Ordem – Família – Gênero – Espécie. Assinale a alternativa que apresenta um Filo.
Provas
O fogo e a eletricidade são os principais agentes causadores de queimaduras na pele. A gravidade das queimaduras pode ser classificada de acordo com as camadas atingidas da pele. Com relação à constituição da pele, assinale a alternativa correta.
Provas
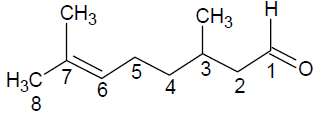
- Química OrgânicaFunções Oxigenadas: Cetona, Aldeído, Éter, Éster, Ácido Carboxílico etc.
- Química OrgânicaHidrocarbonetos
Os alquenos, também chamados de alcenos, são hidrocarbonetos que apresentam uma ou mais duplas ligações. Eles são encontrados em diversos organismos animais e vegetais, ressaltando-se que muitos deles apresentam importantes atividades biológicas. O etileno, I, por exemplo, é um hormônio de plantas que induz o amadurecimento de frutos. Por outro lado, o carbono pode combinar-se de outras maneiras e com outros átomos, dando origem a compostos orgânicos de diferentes funções químicas, como mostradas nas figuras III, IV e V. Considerando essas informações e as fórmulas estruturais dos compostos apresentadas, assinale a alternativa correta.
|
I
|
II
|
III
|
IV
|
V
Provas
- Fundamentos
- Química CinéticaTransformações Químicas
- Teorias AtômicasTabela Periódica. Propriedades periódicas.
As propriedades dos elementos são funções periódicas de seus números atômicos. Com a ajuda dessa lei periódica, é possível organizar e sistematizar a química dos elementos, transformando-a em matéria manejável. Considerando essa informação, assinale a alternativa correta.
Provas
- FundamentosLigações Químicas
- Química InorgânicaGeometria Molecular, Polaridade e Forças Intermoleculares
Pelo exame de como as ligações se formam, é possível entender as propriedades dos compostos, como, por exemplo, a ação de um antiácido no estômago, a decomposição de um gás e a solubilidade de uma substância. A respeito das ligações químicas, assinale a alternativa correta.
Provas
- Teorias AtômicasModelos Atômicos. Estrutura do Átomo.
- Teorias AtômicasTabela Periódica. Propriedades periódicas.
O preenchimento da eletrosfera pelos elétrons em subníveis obedece à ordem crescente de energia definida pelo diagrama de Pauling. Acerca desse assunto, assinale a alternativa correta.
Provas
Um soldado bombeiro trabalha em uma praia e de seu posto de observação consegue avistar uma boia de sinalização. Do seu ponto de observação, utilizando um instrumento de medição de tempo, percebe que o intervalo entre cristas de ondas sucessivas que passam pela boia é de 8,0 s. Assinale a alternativa correta com base nessas informações.
Provas
Caderno Container




