Magna Concursos

Foram encontradas 150 questões.

1967883 Ano: 2020
Disciplina: Estatística
Banca: Avança SP
Orgão: Câm. Vinhedo-SP
Assinale a alternativa que apresenta corretamente o MDC de (2, 6, 56):
 

Provas

Questão presente nas seguintes provas
1967882 Ano: 2020
Disciplina: Matemática
Banca: Avança SP
Orgão: Câm. Vinhedo-SP
Provas:
Uma horta precisa de 4 litros de água por m2 por dia. Um pomar precisa de 10 litros de água por m2 2 vezes ao dia. Um gramado precisa de 1 litro de água por m2 por dia.
Dados: Horta tem 50m2 Pomar tem 100m2 Gramado tem 200m2
Qual o consumo total de água em 2 dias?

 

Provas

Questão presente nas seguintes provas
1967881 Ano: 2020
Disciplina: Matemática
Banca: Avança SP
Orgão: Câm. Vinhedo-SP
Assinale a alternativa que apresenta o resultado correto para a seguinte equação: 13x –
23 – 45 = -7x + 12
 

Provas

Questão presente nas seguintes provas
1967880 Ano: 2020
Disciplina: Matemática
Banca: Avança SP
Orgão: Câm. Vinhedo-SP
Provas:
Um cabo de aço de seção circular de 3cm² resiste à tração de 10 toneladas. Se dobrar seu raio, qual será sua resistência a tração? Adote π=3.
 

Provas

Questão presente nas seguintes provas
1967879 Ano: 2020
Disciplina: Matemática
Banca: Avança SP
Orgão: Câm. Vinhedo-SP
Assinale a alternativa que apresenta o MMC dos seguintes números (18, 60):
 

Provas

Questão presente nas seguintes provas
1967878 Ano: 2020
Disciplina: Estatística
Banca: Avança SP
Orgão: Câm. Vinhedo-SP
Assinale a alternativa que apresenta o MDC de 45, 54 e 55:
 

Provas

Questão presente nas seguintes provas
1967876 Ano: 2020
Disciplina: Matemática
Banca: Avança SP
Orgão: Câm. Vinhedo-SP
Assinale a alternativa que apresenta corretamente o resultado para a seguinte equação:
20 – 80 + 2x = 10
 

Provas

Questão presente nas seguintes provas
1967875 Ano: 2020
Disciplina: Matemática
Banca: Avança SP
Orgão: Câm. Vinhedo-SP
Assinale a alternativa que apresenta o MDC dos seguintes números (18, 60):
 

Provas

Questão presente nas seguintes provas
1967874 Ano: 2020
Disciplina: Matemática
Banca: Avança SP
Orgão: Câm. Vinhedo-SP
Provas:
Um determinado hospital possui 450 leitos de emergência, mas, em razão de uma certa epidemia, aumentará esse número em 48%, o que dará o total de _____ leitos:
 

Provas

Questão presente nas seguintes provas
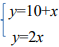
1967873 Ano: 2020
Disciplina: Matemática
Banca: Avança SP
Orgão: Câm. Vinhedo-SP
Provas:

As retas enunciado 944550-1 se encontram em qual ponto?

 

Provas

Questão presente nas seguintes provas