Magna Concursos

Foram encontradas 160 questões.

3844510 Ano: 2025
Disciplina: Raciocínio Lógico
Banca: Darwin
Orgão: Câm. Lagoa Carro-PE
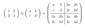
Pela regra mostrada na figura, cada número da matriz A multiplica todos os números da matriz B, formando um mosaico 4×4. Considere A = [[1, 2], [3, 4]] e B = [[a, b], [c, d]]. Seja S = a + b + c + d. Qual é a soma de todos os 16 números do mosaico A ⊗ B?

Enunciado 4784546-1
 

Provas

Questão presente nas seguintes provas
3844509 Ano: 2025
Disciplina: Matemática
Banca: Darwin
Orgão: Câm. Lagoa Carro-PE
Seis candidatos distintos serão dispostos ao redor de uma mesa redonda. De quantas maneiras é possível arranjá-los se A e B não podem ficar lado a lado?
 

Provas

Questão presente nas seguintes provas
3844508 Ano: 2025
Disciplina: Raciocínio Lógico
Banca: Darwin
Orgão: Câm. Lagoa Carro-PE
Cinco pessoas (Ana, Bruno, Carla, Daniel e Esther) ocupam, cada uma, uma sala numerada de 1 a 5, da esquerda para a direita. Regras:

I. Carla está na sala 3.
II. Bruno ocupa uma sala adjacente à de Carla.
III. Daniel está à esquerda de Esther.
IV. A sala de Ana é imediatamente à esquerda da de Daniel.

Em qual sala está Bruno?
 

Provas

Questão presente nas seguintes provas
3844507 Ano: 2025
Disciplina: Raciocínio Lógico
Banca: Darwin
Orgão: Câm. Lagoa Carro-PE
No universo de 500 clientes: |A| = 300 (assinantes plano A), |B| = 280 (plano B) e |A ∩ B| = 180. Quantos estão em B mas não em A?
 

Provas

Questão presente nas seguintes provas
3844506 Ano: 2025
Disciplina: Estatística
Banca: Darwin
Orgão: Câm. Lagoa Carro-PE
Duas máquinas produzem peças: A (60% da produção, 2% defeito) e B (40%, 5% defeito). Uma peça foi sorteada e está defeituosa. Qual a probabilidade de ter sido produzida pela máquina B?
 

Provas

Questão presente nas seguintes provas
3844505 Ano: 2025
Disciplina: Informática
Banca: Darwin
Orgão: Câm. Lagoa Carro-PE
Com o aumento do uso da computação em nuvem (cloud computing) no setor público e privado, o armazenamento de dados remotos tornou-se prática recorrente. Sobre o tema, assinale a alternativa correta.
 

Provas

Questão presente nas seguintes provas
3844504 Ano: 2025
Disciplina: Informática
Banca: Darwin
Orgão: Câm. Lagoa Carro-PE
As redes de computadores e os navegadores de internet são recursos indispensáveis ao serviço público. Considerando os navegadores Microsoft Edge (substituto do Internet Explorer a partir do Windows 10), Mozilla Firefox 115 ESR e Google Chrome versão estável 2024, assinale a alternativa correta:
 

Provas

Questão presente nas seguintes provas
3844503 Ano: 2025
Disciplina: Informática
Banca: Darwin
Orgão: Câm. Lagoa Carro-PE
Os aplicativos de edição de textos, planilhas e apresentações são recursos fundamentais no cotidiano de um agente administrativo. Considerando os softwares Microsoft Office 2019 e LibreOffice 7.x, avalie as seguintes afirmações:
 

Provas

Questão presente nas seguintes provas
A segurança da informação é aspecto fundamental em ambientes corporativos e governamentais. Sobre o tema, assinale a alternativa correta.
 

Provas

Questão presente nas seguintes provas
3844501 Ano: 2025
Disciplina: TI - Sistemas Operacionais
Banca: Darwin
Orgão: Câm. Lagoa Carro-PE
Nos sistemas operacionais modernos, o gerenciamento de arquivos e diretórios é essencial para a organização e execução de tarefas administrativas. Considerando o Windows 10 e o Linux Ubuntu 22.04 LTS, analise as alternativas a seguir e, em seguida, assinale a opção correta.
 

Provas

Questão presente nas seguintes provas