Magna Concursos

Foram encontradas 130 questões.

3284777 Ano: 2024
Disciplina: Matemática
Banca: UPENET/IAUPE
Orgão: Câm. Itabira-MG
Provas:
Uma roda de motocicleta tem 50,0 cm de raio. O número de voltas completas que ela deverá dar para percorrer 1,2 km é igual a

Considere π = 3.
 

Provas

Questão presente nas seguintes provas
3284776 Ano: 2024
Disciplina: Matemática
Banca: UPENET/IAUPE
Orgão: Câm. Itabira-MG
Provas:
Em uma Escola no Município de Tabira, há 504 estudantes matriculados no Ensino Fundamental II, sendo 160 na 6ª série, 144 na 7ª, 120 na 8ª e 80 na 9ª. Na semana da pátria, todos esses estudantes serão organizados em equipes de mesma série, com o mesmo número de estudantes.

O número máximo de estudantes que pode haver em cada equipe é igual a
 

Provas

Questão presente nas seguintes provas
3284775 Ano: 2024
Disciplina: Matemática
Banca: UPENET/IAUPE
Orgão: Câm. Itabira-MG
Provas:
Retirando-se uma bola de uma urna que contém 20 bolas, numeradas de 1 a 20, a probabilidade de se obterem as bolas de números maiores que 10 e menores que 15, é igual a
 

Provas

Questão presente nas seguintes provas
3284774 Ano: 2024
Disciplina: Matemática
Banca: UPENET/IAUPE
Orgão: Câm. Itabira-MG
Provas:
Quantos anagramas tem a palavra Pajeú?
 

Provas

Questão presente nas seguintes provas
3284773 Ano: 2024
Disciplina: Matemática
Banca: UPENET/IAUPE
Orgão: Câm. Itabira-MG
Provas:

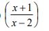
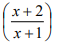
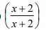
A razão entre as formas fatoradas dos polinômios x2 – 1 e x2 + 2x +1 é igual a

 

Provas

Questão presente nas seguintes provas
3284772 Ano: 2024
Disciplina: Matemática
Banca: UPENET/IAUPE
Orgão: Câm. Itabira-MG
Provas:
Na Câmara de Vereadores de uma determinada cidade, existem 9 vereadoras, número esse que representa 30% do total de vereadores.
Assinale a alternativa que totaliza o número de vereadores e vereadoras.
 

Provas

Questão presente nas seguintes provas
3284771 Ano: 2024
Disciplina: Matemática
Banca: UPENET/IAUPE
Orgão: Câm. Itabira-MG
Provas:
Assinale a alternativa que é igual à simplificação do radical Enunciado 3660682-1.
 

Provas

Questão presente nas seguintes provas
3284770 Ano: 2024
Disciplina: Português
Banca: UPENET/IAUPE
Orgão: Câm. Itabira-MG
Em “Quando os nobres matavam um porco, os restos INDESEJADOS...”, o termo destacado em maiúscula significa
 

Provas

Questão presente nas seguintes provas
3284769 Ano: 2024
Disciplina: Português
Banca: UPENET/IAUPE
Orgão: Câm. Itabira-MG
FEIJOADA
Nasceu nas senzalas que abrigavam os escravos no Rio de Janeiro, no final do século XIX. Quando os nobres matavam um porco, os restos indesejados – pés, orelhas, rabo e tripas – eram dados aos escravos. Eles misturavam tudo isso com o feijão durante o cozimento e colocavam farinha assada por cima, antes de comer.
Adaptado. DUARTE. Macedo. O guia dos curiosos. Companhia das Letras.
Em qual alternativa abaixo, a letra destacada em MAIÚSCULA e NEGRITADA é classificada como consoante?
 

Provas

Questão presente nas seguintes provas
3284768 Ano: 2024
Disciplina: Português
Banca: UPENET/IAUPE
Orgão: Câm. Itabira-MG
FEIJOADA
Nasceu nas senzalas que abrigavam os escravos no Rio de Janeiro, no final do século XIX. Quando os nobres matavam um porco, os restos indesejados – pés, orelhas, rabo e tripas – eram dados aos escravos. Eles misturavam tudo isso com o feijão durante o cozimento e colocavam farinha assada por cima, antes de comer.
Adaptado. DUARTE. Macedo. O guia dos curiosos. Companhia das Letras.
Observe o fragmento de texto abaixo:


“Quando os nobres matavam um porco, os restos indesejados – pés, orelhas, rabo e tripas – eram dados aos escravos”.


Nele, percebe-se que
 

Provas

Questão presente nas seguintes provas