Foram encontradas 324 questões.
Qual é o valor hoje de um título que vencerá daqui a 4 meses, cujo valor nominal é R$ 5 000,00, se ele for submetido a desconto comercial simples à taxa mensal de 3%?
Provas
Questão presente nas seguintes provas
Analise as afirmativas a seguir:
I. Se o Valor Presente Líquido de um projeto é positivo a uma taxa de desconto de 10%, significa que a Taxa Interna de Retorno será uma taxa no máximo igual a 10%.
II. A Taxa Interna de Retorno é a taxa de desconto que iguala, em termos atuais, o valor de todos os custos do projeto com todas as receitas do mesmo.
III. Um projeto com uma Taxa Interna de Retorno superior à de outro para um mesmo período de tempo possui uma taxa de lucratividade inferior ao do segundo.
Assinale
I. Se o Valor Presente Líquido de um projeto é positivo a uma taxa de desconto de 10%, significa que a Taxa Interna de Retorno será uma taxa no máximo igual a 10%.
II. A Taxa Interna de Retorno é a taxa de desconto que iguala, em termos atuais, o valor de todos os custos do projeto com todas as receitas do mesmo.
III. Um projeto com uma Taxa Interna de Retorno superior à de outro para um mesmo período de tempo possui uma taxa de lucratividade inferior ao do segundo.
Assinale
Provas
Questão presente nas seguintes provas
A respeito do Valor Presente Líquido (VPL), analise as afirmativas a seguir:
I. Valor Presente Líquido é o resultado final de todas as receitas e despesas de um projeto, depois de se tomar em conta o custo oportunidade do capital.
II. O Valor Presente Líquido de um projeto não deve ser comparado com o VPL de outro projeto, pois cada projeto possui as suas singularidades.
III. O Valor presente líquido de um projeto é sempre calculado com uma taxa de desconto de 15%, porque esse valor representa uma boa margem.
Assinale
I. Valor Presente Líquido é o resultado final de todas as receitas e despesas de um projeto, depois de se tomar em conta o custo oportunidade do capital.
II. O Valor Presente Líquido de um projeto não deve ser comparado com o VPL de outro projeto, pois cada projeto possui as suas singularidades.
III. O Valor presente líquido de um projeto é sempre calculado com uma taxa de desconto de 15%, porque esse valor representa uma boa margem.
Assinale
Provas
Questão presente nas seguintes provas
Em um reator de mistura ideal em estado estacionário, 1 litro/min de um líquido contendo A e B é alimentado com as seguintes concentrações de A e B:
mol/litro;
mol/litro. A saída do reator apresenta as substâncias A, B e C, com as concentrações:
mol/litro,
mol/litro e
mol/L. O volume do reator é de 2 litros. Considere densidade constante. Assinale a alternativa que apresenta corretamente as taxas de reação para A, B e C no reator, respectivamente.

mol/litro;
mol/litro. A saída do reator apresenta as substâncias A, B e C, com as concentrações:
mol/litro,
mol/litro e
mol/L. O volume do reator é de 2 litros. Considere densidade constante. Assinale a alternativa que apresenta corretamente as taxas de reação para A, B e C no reator, respectivamente.
Provas
Questão presente nas seguintes provas
Um copo cilíndrico de diâmetro D, altura "H" e massa "m" é emborcado num fluido de massa específica
, aprisionando uma quantidade de ar em seu interior, conforme a figura abaixo:

A pressão atmosférica e a temperatura do local são dadas, respectivamente, por "P" e "T", situação na qual o ar pode ser considerado como um gás ideal de massa molecular "M". Assinale a alternativa que fornece a profundidade da borda do copo ("h"), na situação de equilíbrio (em que o peso do sistema é equilibrado pelo empuxo).
, aprisionando uma quantidade de ar em seu interior, conforme a figura abaixo:
A pressão atmosférica e a temperatura do local são dadas, respectivamente, por "P" e "T", situação na qual o ar pode ser considerado como um gás ideal de massa molecular "M". Assinale a alternativa que fornece a profundidade da borda do copo ("h"), na situação de equilíbrio (em que o peso do sistema é equilibrado pelo empuxo).
Provas
Questão presente nas seguintes provas
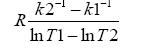
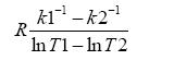
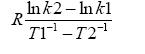
Dois experimentos foram realizados para elucidar a cinética de uma determinada reação química. No experimento em que a reação foi conduzida à temperatura T1, a velocidade específica de reação foi k1 e no experimento em que a reação foi conduzida à temperatura T2, a velocidade específica de reação foi k2. Assinale a alternativa que contém uma estimativa para a energia de ativação de reação, segundo o modelo de Arrhenius, e usando os únicos dois dados experimentais disponíveis.
Provas
Questão presente nas seguintes provas
A taxa de frequências de acidentes de trabalho é calculada da seguinte forma:
Provas
Questão presente nas seguintes provas
A inspeção de segurança periódica, em caldeiras, segundo a NR-13, deve ser constituída por exames interno e externo e deve ser executada nos seguintes prazos máximos
Provas
Questão presente nas seguintes provas
Segundo a NR -20, líquidos combustíveis são aqueles que têm seu ponto de fulgor
Provas
Questão presente nas seguintes provas
Observe a figura a seguir, que mostra uma tela do Excel 2003 em português.

A planilha mostra a relação de funcionários do departamento comercial de uma empresa de consultoria. Com base na planilha e no Excel 2003 em português, qual das opções apresenta o resultado da fórmula =INT(FRAÇÃOANO(DATA(2010;12;31); PROCV(A6;A2:E7;5; FALSO))), que será colocada na célula A9?

A planilha mostra a relação de funcionários do departamento comercial de uma empresa de consultoria. Com base na planilha e no Excel 2003 em português, qual das opções apresenta o resultado da fórmula =INT(FRAÇÃOANO(DATA(2010;12;31); PROCV(A6;A2:E7;5; FALSO))), que será colocada na célula A9?
Provas
Questão presente nas seguintes provas
Cadernos
Caderno Container