Foram encontradas 80 questões.
Correlacione as colunas:

Provas
- Segurança da InformaçãoFerramentas de SegurançaAntivírus e Antispyware
- Segurança da InformaçãoVírus, Spyware e OutrosVírus
A infecção de computadores por vírus é um problema que demanda muita atenção das empresas.
I. se um programa antivírus está corretamente instalado no computador, podemos afirmar que não existem chances de infecção do mesmo;
II. alguns programas antivírus instalam programas residentes que monitoram o sistema;
III. vários programas antivírus necessitam atualizar suas bibliotecas periodicamente.
A respeito dos programas chamados de antivírus, julgue as seguintes afirmações:
Estão corretas, SOMENTE:
Provas
Dispomos de duas ligas, X e Y. Na liga X, ouro e prata estão na razão 2:3 e na liga Y, na razão 3:5. Desejamos obter uma nova liga na qual estes metais estejam na razão 5:8. A razão entre as massas de X e Y que devemos fundir é igual a:
Provas
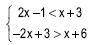
As soluções simultâneas das inequações
são os valores reais de x tais que:
Provas
Para determinar a média das idades dos alunos de uma universidade, realizou- -se um censo. Entretanto, 30% das pessoas declararam ter 2 anos a menos do que tinham realmente; 50% das pessoas declararam ter 1 ano a mais do que tinham realmente e 20% declararam a verdade. A média calculada:
Provas
Um artigo é vendido, à vista, por R$ 150,00 ou em dois pagamentos de R$ 80,00 cada um: o primeiro, no ato da compra e o segundo, um mês após a compra. Os que optam pelo pagamento parcelado pagam juros mensais de taxa aproximadamente igual a:
Provas
- FundamentosAnálise de Tabelas e GráficosGráfico de Setores (ou de Pizza)
- Estatística DescritivaMedidas de Tendência CentralMédias
Os gráficos a seguir mostram a distribuição da população e da renda por zona, em certa cidade.

Considere, a esse respeito, as afirmações seguintes:
I. a renda média da população suburbana é maior que a da população urbana;
II. os habitantes das zonas rural e suburbana, juntos, acumulam a mesma renda que os habitantes da zona urbana;
III. a renda média dos habitantes da zona urbana é superior ao dobro da dos habitantes da zona rural.
Assinale:
Provas
Dois jogadores, X e Y, apostaram em um jogo de cara-e-coroa, combinando que o primeiro a conseguir 6 vitórias ganharia a aposta. X já obteve 5 vitórias e Y, apenas 3. Qual é a probabilidade de X ganhar o jogo?
Provas
Uma empresa tem a matriz em Blumenau e filiais em Joinville e Florianópolis. 50% dos empregados trabalham na matriz e 30%, em Joinville. São mulheres 40% dos funcionários da empresa, 10% dos funcionários da matriz e 25% dos funcionários de Florianópolis. Quantos dos funcionários de Joinville são mulheres?
Provas
Os 100 alunos admitidos em uma faculdade foram divididos em duas turmas. Na turma I, puseram-se os 50 alunos de melhores médias no vestibular; na turma II, os demais. Entretanto, resolveu-se, posteriormente, transferir, para a turma II, o pior aluno da turma I. Após a transferência, o que aconteceu com as médias das notas, no vestibular, dos alunos das turmas I e II?
Provas
Caderno Container