Magna Concursos

Foram encontradas 721 questões.

610969 Ano: 2017
Disciplina: Engenharia Elétrica
Banca: FCC
Orgão: ARTESP
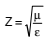
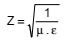
Considerando a propagação de ondas eletromagnéticas (em meios materiais), o fator denominado Impedância Característica do Meio é calculado de acordo com a seguinte expressão (sendo ε a permissividade dielétrica do meio e μ a permeabilidade magnética do meio):
 

Provas

Questão presente nas seguintes provas
610968 Ano: 2017
Disciplina: Engenharia Elétrica
Banca: FCC
Orgão: ARTESP
Um Engenheiro está utilizando um multímetro na escala de medida de tensão alternada para medir a tensão em uma tomada de energia elétrica comercial de 60 Hz. Caso o voltímetro indique o valor de 127 V, o máximo valor de tensão (valor de pico) nessa tomada é, em V, aproximadamente,
 

Provas

Questão presente nas seguintes provas

Considere o levantamento planimétrico abaixo representado pelas coordenadas parciais (X, Y).

Enunciado 610967-1

A área da poligonal, em metros quadrados, é

 

Provas

Questão presente nas seguintes provas
Sobre os detalhes construtivos dos projetos de impermeabilização, os coletores devem ter diâmetro que garanta a manutenção da seção nominal dos tubos prevista no projeto hidráulico após a execução da impermeabilização, sendo o diâmetro nominal mínimo de
 

Provas

Questão presente nas seguintes provas
610965 Ano: 2017
Disciplina: Engenharia Civil
Banca: FCC
Orgão: ARTESP
O circuito elétrico monofásico de uma edificação deve ser dimensionado com condutores de cobre para a tensão de 110 V, potência de 1210 W, fator de potência unitário e distância de 23,2 m até o quadro de distribuição. Considerando a resistividade do cobre igual a 1/ 58 (Ω ×mm2 / m ) e a queda de tensão admissível para esse circuito de 2%, a área calculada da seção transversal dos condutores é, em mm2 ,
 

Provas

Questão presente nas seguintes provas
610964 Ano: 2017
Disciplina: Engenharia Civil
Banca: FCC
Orgão: ARTESP

Considere o diagrama de pressões indicados na escavação abaixo:

Enunciado 610964-1

Dados:

− Massa específica da areia siltosa γ = 19 kN/m3

− Coesão (c) = zero

− Coeficiente de empuxo ativo Ka = 1/3

− Ângulo de atrito interno (φ) = 24,50º

− Diagrama de pressão: PA = 0,65 × γ × H × Ka

− Diferença de cotas = H

− PA = pressão ativa

Para a escavação, o valor da Pressão Ativa (PA), em kPa, é

 

Provas

Questão presente nas seguintes provas
610963 Ano: 2017
Disciplina: Engenharia Civil
Banca: FCC
Orgão: ARTESP
Os bueiros de greide são dispositivos destinados a conduzir, para locais de deságue seguro, as águas captadas pelas caixas coletoras. Para o dimensionamento hidráulico dos bueiros de greide, recomenda-se:
 

Provas

Questão presente nas seguintes provas
610962 Ano: 2017
Disciplina: Engenharia Civil
Banca: FCC
Orgão: ARTESP
Em construções, um dos tipos de problemas que os revestimentos de argamassas podem apresentar são depósitos salinos de cor branca que surgem na superfície do revestimento, provenientes da migração de sais solúveis existentes nos materiais ou componentes na presença de água ou pressão hidrostática. Essa patologia é denominada
 

Provas

Questão presente nas seguintes provas
610961 Ano: 2017
Disciplina: Engenharia Civil
Banca: FCC
Orgão: ARTESP

Uma viga simplesmente apoiada com 8 m de vão suporta uma carga uniformemente distribuída de 2 kN/m ao longo do vão e três cargas concentradas como ilustrado na figura abaixo.

Enunciado 610961-1

O momento fletor máximo é, em kNm,

 

Provas

Questão presente nas seguintes provas
610960 Ano: 2017
Disciplina: Engenharia Civil
Banca: FCC
Orgão: ARTESP
Considere os dados abaixo do projeto de uma autoestrada:
Dados: Velocidade de projeto = 129,6 km/h Aceleração da gravidade = 10 m/s2 Coeficiente de atrito = 0,12
O raio mínimo de curva para não haver necessidade de superelevação nas curvas e, portanto, não haver necessidade de espiral de transição é, em metros,
 

Provas

Questão presente nas seguintes provas