Foram encontradas 817 questões.
Se a = 0,5 e b = 1,5, então a média de X é superior a 0,50.
Provas
Se a = b =1, então X segue uma distribuição uniforme.
Provas

Com base nessa situação hipotética e nas informações apresentadas acima, julgue os itens subsequentes.
Considerando-se que a alocação tenha sido proporcional ao número de empresas em cada estrato, a fração amostral do levantamento foi igual a 10%.
Provas

Com base nessa situação hipotética e nas informações apresentadas acima, julgue os itens subsequentes.
O coeficiente de Tshuprow é superior ao coeficiente
.
Provas

Com base nessa situação hipotética e nas informações apresentadas acima, julgue os itens subsequentes.
O coeficiente de associação
simétrico é nulo.
Provas

Com base nessa situação hipotética e nas informações apresentadas acima, julgue os itens subsequentes.
O coeficiente V de Cramer é igual ao coeficiente
.
Provas

Com base nessa situação hipotética e nas informações apresentadas acima, julgue os itens subsequentes.
O quadrado do coeficiente de contingência é superior a 0,10.
Provas

Com base nessa situação hipotética e nas informações apresentadas acima, julgue os itens subsequentes.
A estatística qui-quadrado do teste de independência entre o tipo de empresa e a opinião apresenta 5 graus de liberdade e é superior a 30 e inferior a 60.
Provas

Com base nessa situação hipotética, supondo, ainda, que a população de clientes tenha sido muito grande; que a amostragem tenha sido aleatória simples; que
(2,0) = 0,977, em que
(z) representou a função de distribuição acumulada da distribuição Normal padrão; e que a distribuição t de Student apresenta cauda mais pesada que a distribuição Normal padrão, julgue os itens a seguir.rão, julgue os itens a seguir.
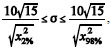
Uma estimativa intervalar de 96% de nível de confiança para o desvio padrão populacional (em mil toneladas/dia) tem a forma
em que
correspondem, respectivamente, ao percentil 2.º e 98.º da distribuição qui-quadrado com 15 graus de liberdade.
Provas

Com base nessa situação hipotética, supondo, ainda, que a população de clientes tenha sido muito grande; que a amostragem tenha sido aleatória simples; que
(2,0) = 0,977, em que
(z) representou a função de distribuição acumulada da distribuição Normal padrão; e que a distribuição t de Student apresenta cauda mais pesada que a distribuição Normal padrão, julgue os itens a seguir.rão, julgue os itens a seguir.
Uma estimativa intervalar não-paramétrica para a quantidade média diária de carga movimentada pode ser obtida por bootstrap. Nesse caso, um intervalo de confiança bootstrap de 94% é obtido tomando-se como limites de confiança o 3.º percentil e o 97.º percentil de uma dada distribuição bootstrap da média amostral.
Provas
Caderno Container