Foram encontradas 1.382 questões.

Com relação às ideias e a aspectos linguísticos do texto acima,
julgue os próximos itens.
Provas
Questão presente nas seguintes provas

Sem que houvesse prejuízo para a correção gramatical, os dois períodos que iniciam o segundo parágrafo poderiam ser ligados pelo sinal de dois-pontos, da seguinte forma: (...) começaram a mudar: a vinda da Corte (...).
Provas
Questão presente nas seguintes provas
- SintaxeConcordância
- MorfologiaVerbos
- SemânticaSinônimos e Antônimos
- Interpretação de TextosSubstituição/Reescritura de Texto

Sem prejuízo para a correção gramatical do texto, a forma verbal “deixasse” (L.11) poderia ser substituída por tivesse deixado.
Provas
Questão presente nas seguintes provas

Com relação às ideias e a aspectos linguísticos do texto acima, julgue os próximos itens.
Provas
Questão presente nas seguintes provas

Com relação às ideias e a aspectos linguísticos do texto acima, julgue os próximos itens.
Provas
Questão presente nas seguintes provas

Provas
Questão presente nas seguintes provas
Com referência aos sistemas de amortização constante (SAC) e
crescente (SACRE), julgue o item a seguir.
Considerando que em um empréstimo sob o SAC, com prazo de 36 meses, a uma taxa de 4% ao mês, a diferença entre a primeira e a décima prestação seja de R$ 12,60, então o valor do empréstimo será inferior a R$ 1.500,00.crescente (SACRE), julgue o item a seguir.
Provas
Questão presente nas seguintes provas

Provas
Questão presente nas seguintes provas
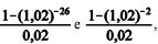
Acerca de juros, cada um dos itens subsequentes apresenta uma
situação hipotética, seguida de uma assertiva a ser julgada.
Uma loja oferece um televisor por 24 prestações mensais, consecutivas, de R$ 100,00 e com o primeiro pagamento ocorrendo 3 meses após a compra. Se a loja cobra juros de 2% ao mês e considerando 20,12 e 1,94 como valores aproximados, respectivamente, de situação hipotética, seguida de uma assertiva a ser julgada.
Provas
Questão presente nas seguintes provas

Com base nessas informações, julgue os itens a seguir.
Provas
Questão presente nas seguintes provas
Cadernos
Caderno Container